Fig. 11

Download original image
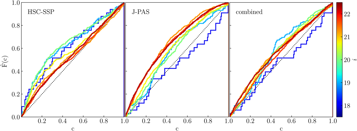
Fraction of galaxies for which zspec is inside the highest probability density confidence interval (HPDCI) as a function of the confidence level c, computed separately for the colour-coded magnitude bins i = {17.5–18.5, 18.5–19.5, 19.5–20.5, 20.5–21, 21–21.5, 21.5–22, 22–22.5}. The left, middle, and right panels show results for the PDZs from HSC-SSP, J-PAS, and their conflation, respectively. Values above (below) the diagonal line indicate under-(over-)confidence in the PDZs.
Current usage metrics show cumulative count of Article Views (full-text article views including HTML views, PDF and ePub downloads, according to the available data) and Abstracts Views on Vision4Press platform.
Data correspond to usage on the plateform after 2015. The current usage metrics is available 48-96 hours after online publication and is updated daily on week days.
Initial download of the metrics may take a while.