Open Access

Fig. A.1

image

Download original image

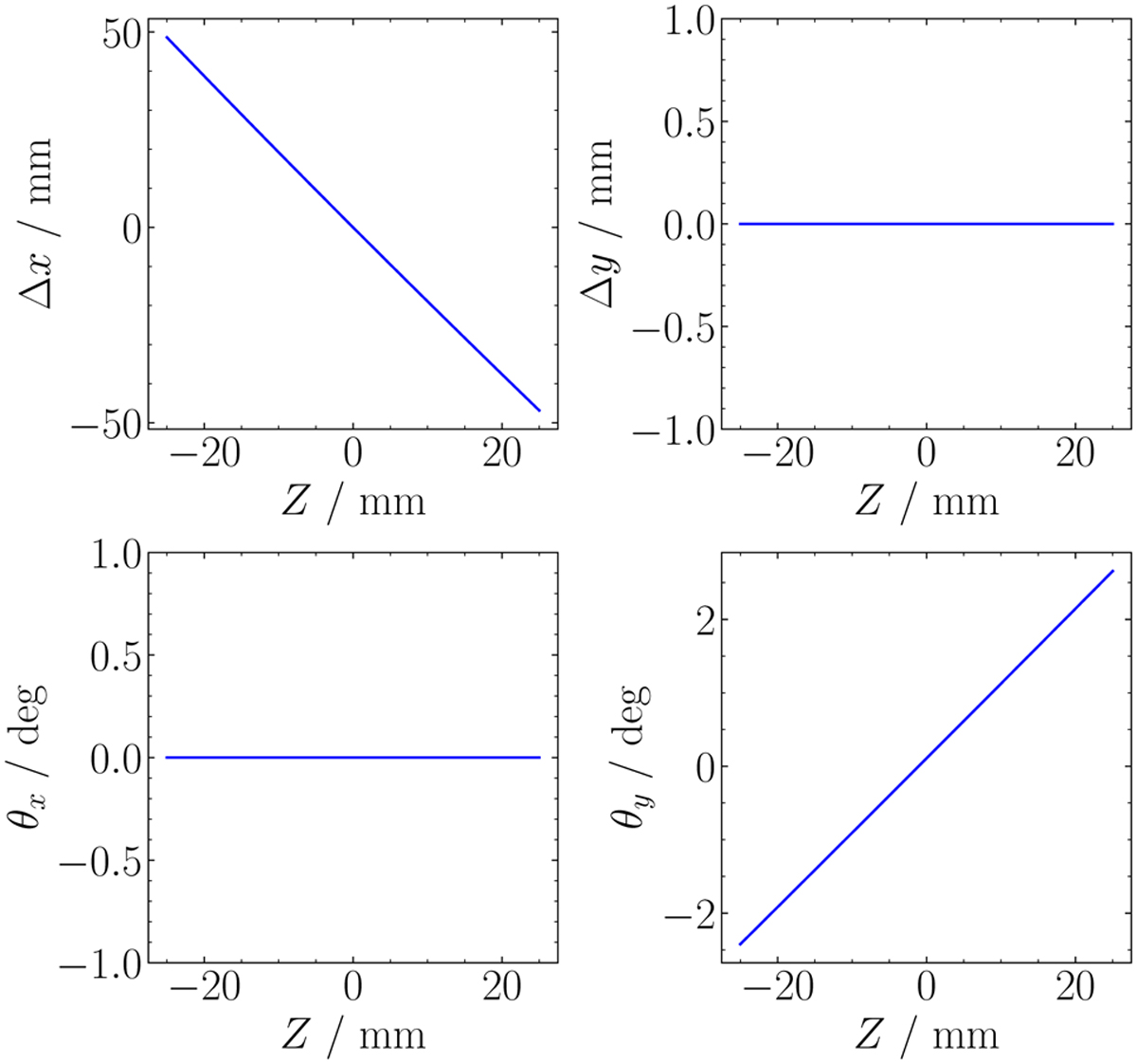
Beam misalignment parameters vs. the hexapod DoF along the z-axis in millimeters. The ray-trace beam is evaluated in the warm focal plane, according to Fig. 1a. a) Beam offset Δx along the x-axis in mm. b) Beam offset ∆y along the y-axis in mm. Both offsets are calculated with respect to pWF. c) Beam tilt θx around the x-axis in degrees, d) Beam tilt θy around the y-axis in degrees.

Current usage metrics show cumulative count of Article Views (full-text article views including HTML views, PDF and ePub downloads, according to the available data) and Abstracts Views on Vision4Press platform.

Data correspond to usage on the plateform after 2015. The current usage metrics is available 48-96 hours after online publication and is updated daily on week days.

Initial download of the metrics may take a while.