Open Access

Fig. 8

image

Download original image

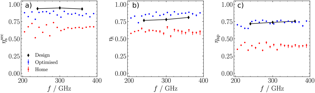
Calculated telescope efficiencies for the ISS at ASTE. (a) Spill-over efficiency calculated on M2. (b) Taper efficiency ηt calculated in the aperture of M (c) Aperture efficiency ηap, defined as . The blue dots represent the optimised configuration, the red dots show the home configuration, and black diamonds show the design values of an ideal setup. The error bars are calculated from the error in the Gaussian fit used to determine the beam misalignment.

Current usage metrics show cumulative count of Article Views (full-text article views including HTML views, PDF and ePub downloads, according to the available data) and Abstracts Views on Vision4Press platform.

Data correspond to usage on the plateform after 2015. The current usage metrics is available 48-96 hours after online publication and is updated daily on week days.

Initial download of the metrics may take a while.