Open Access

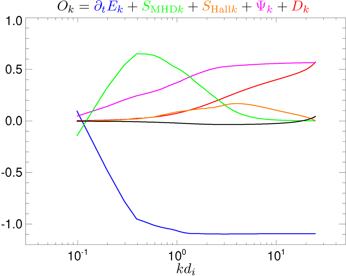
Fig. A.1.

image

Download original image

Spectral transfer analysis, the validity test of the isotropic ST Ok, Eq. (A.7), as a function of k (averaged over the time interval 200 ≤ tΩi ≤ 300) (black line) along with the different contributing terms: decay rate ∂tEk (blue), MHD cascade rate SMHDk (green), Hall cascade rate SHallk (orange), resistive dissipation rate Dk (red), and pressure–strain rate Ψk (magenta). All the quantities are given in units of the total (effective) heating rate Q.

Current usage metrics show cumulative count of Article Views (full-text article views including HTML views, PDF and ePub downloads, according to the available data) and Abstracts Views on Vision4Press platform.

Data correspond to usage on the plateform after 2015. The current usage metrics is available 48-96 hours after online publication and is updated daily on week days.

Initial download of the metrics may take a while.