Open Access

Fig. A.2.

image

Download original image

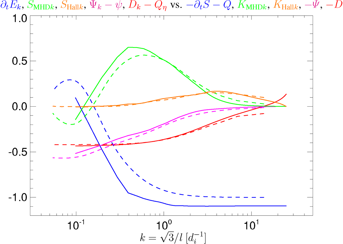
Comparison between the ST and KHM approaches. The solid lines show the contributing terms of the ST equation as a function of k: (blue) the decay rate ∂tEk, (green) the MHD cascade rate SMHDk, (orange) the Hall cascade rate SHallk, (red) the dissipation rate Dk − Q, and (magenta) the pressure–strain rate Ψk − ψ. The dashed lines show the corresponding results of the KHM equation function of k through the relation : (blue) the decay rate −∂tS − Q, (green) the MHD cascade rate KMHD, (orange) the Hall cascade rate KHall, (red) the dissipation rate −D, and (magenta) the pressure–strain rate −Ψ. All the quantities are given in units of the total (effective) dissipation rate Q.

Current usage metrics show cumulative count of Article Views (full-text article views including HTML views, PDF and ePub downloads, according to the available data) and Abstracts Views on Vision4Press platform.

Data correspond to usage on the plateform after 2015. The current usage metrics is available 48-96 hours after online publication and is updated daily on week days.

Initial download of the metrics may take a while.