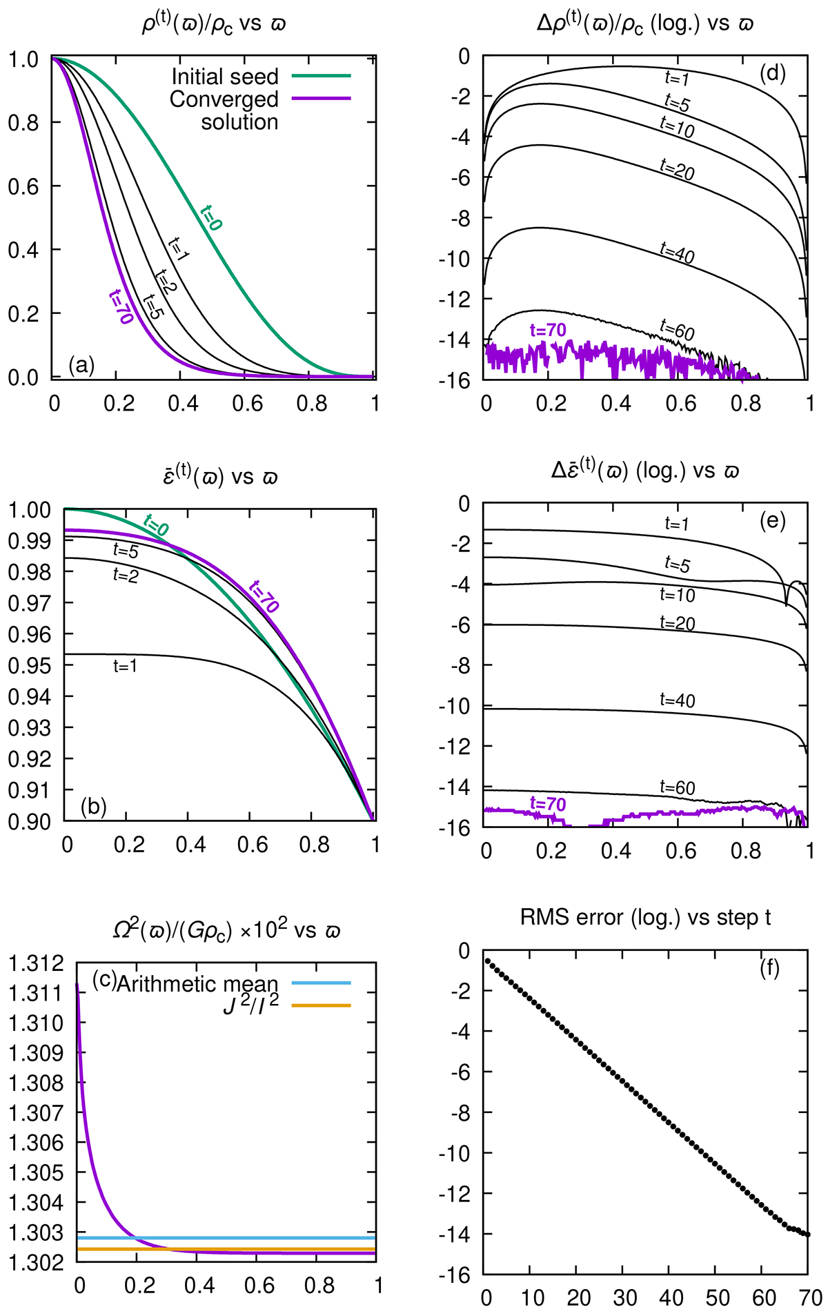
Fig. 2.

Download original image
Radial profiles for (panel a) and
(panel b) during the SCF cycle for a few selected steps t (labeled on the curves) of the SCF cycle, and absolute deviations (panels d and e) between steps t − 1 and t. Also shown are the square of the rotation rate (panel c) computed at convergence from Eq. (10) and its mean value (orange), and the convergence parameter δ computed from Eq. (12) as a function of step t (panel f).
Current usage metrics show cumulative count of Article Views (full-text article views including HTML views, PDF and ePub downloads, according to the available data) and Abstracts Views on Vision4Press platform.
Data correspond to usage on the plateform after 2015. The current usage metrics is available 48-96 hours after online publication and is updated daily on week days.
Initial download of the metrics may take a while.