Open Access
Fig. 12

Download original image
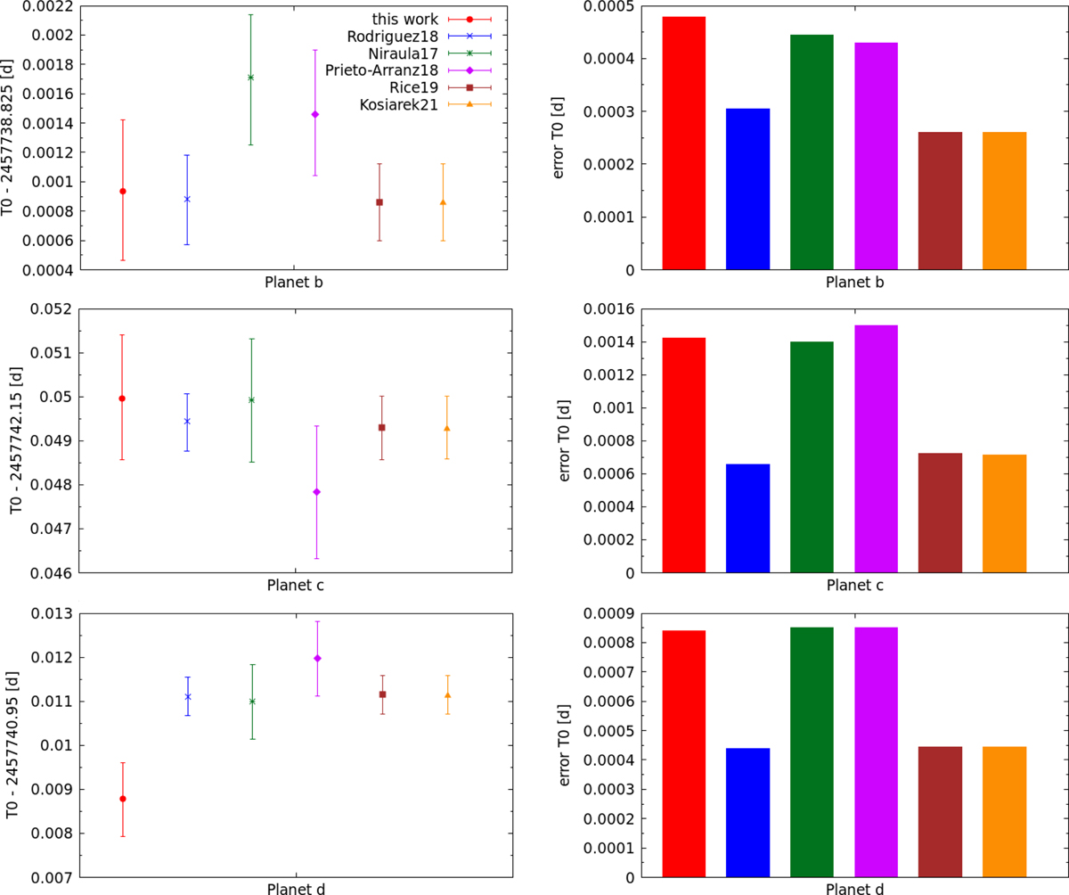
Literature comparison for time of periastron (left column) and error (right column) for each planet. Note that for planet c we added one orbital period to T0 from Niraula et al. (2017) and Prieto-Arranz et al. (2018) to make their values comparable.
Current usage metrics show cumulative count of Article Views (full-text article views including HTML views, PDF and ePub downloads, according to the available data) and Abstracts Views on Vision4Press platform.
Data correspond to usage on the plateform after 2015. The current usage metrics is available 48-96 hours after online publication and is updated daily on week days.
Initial download of the metrics may take a while.