Open Access
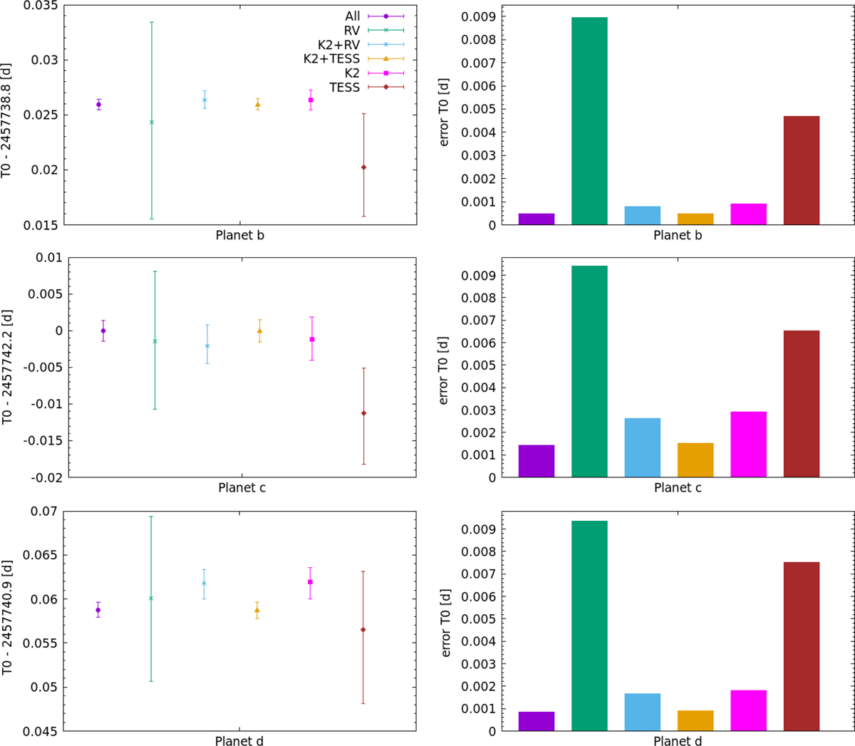
Fig. A.3

Download original image
Comparison of time of periastron from different GP runs using different combinations of datasets. RV refers to ESPRESSO, HARPS, HARPS-N, and HIRES, and All refers to RV, K2, and TESS combined.
Current usage metrics show cumulative count of Article Views (full-text article views including HTML views, PDF and ePub downloads, according to the available data) and Abstracts Views on Vision4Press platform.
Data correspond to usage on the plateform after 2015. The current usage metrics is available 48-96 hours after online publication and is updated daily on week days.
Initial download of the metrics may take a while.