Fig. 1.

Download original image
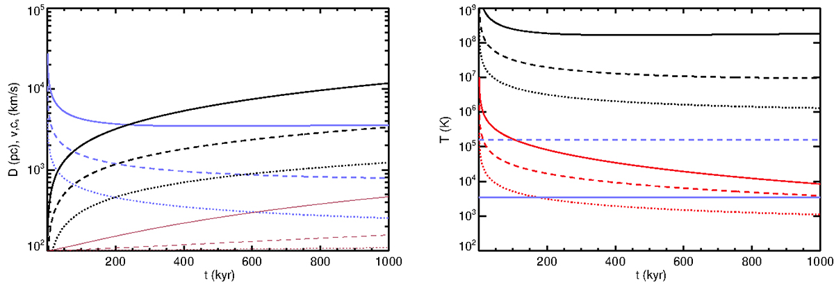
Left panel: radial shock velocity (vs, violet) and axial position (black) for jet powers 1046 (solid lines), 1044 (dashed), and 1042 erg s−1 (dotted). The thin, dark red lines indicate the ISM sound speed at the axial position. Right panel: post-shock temperatures for same jet powers as the left panel in the case of a medium density following Eq. (7) (black lines), i.e., a hot, diffuse ISM, and a medium with constant number density 103 cm−3, i.e., cold clouds. Horizontal lines indicate hydrogen ionization temperatures in local thermodynamical equilibrium, 3500 K (solid), and collisional equilibrium, 1.58 × 105 K (dashed). In these clouds, the sound speed is 3 km s−1. The temperatures have been derived for ionized hydrogen in Eq. (10).
Current usage metrics show cumulative count of Article Views (full-text article views including HTML views, PDF and ePub downloads, according to the available data) and Abstracts Views on Vision4Press platform.
Data correspond to usage on the plateform after 2015. The current usage metrics is available 48-96 hours after online publication and is updated daily on week days.
Initial download of the metrics may take a while.