Open Access

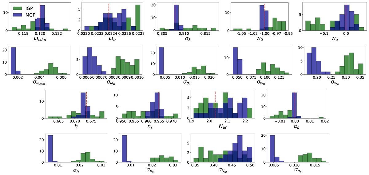
Fig. 13.

image

Download original image

Best-fit cosmological parameters along with the corresponding uncertainties on the 25 cubic mocks with Planck 2018 cosmology and the median HOD. Results using the MGP and IGP models are shown in blue and green, respectively. The true parameters values are shown by a red dotted line.

Current usage metrics show cumulative count of Article Views (full-text article views including HTML views, PDF and ePub downloads, according to the available data) and Abstracts Views on Vision4Press platform.

Data correspond to usage on the plateform after 2015. The current usage metrics is available 48-96 hours after online publication and is updated daily on week days.

Initial download of the metrics may take a while.