Open Access

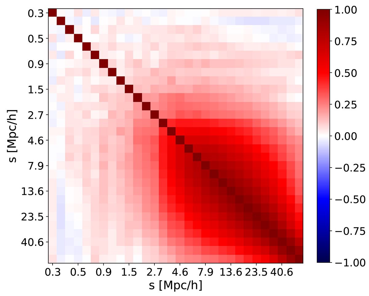
Fig. 5.

image

Download original image

Correlation matrix of the 2PCF monopole computed from 1400 small box realisations of the Planck 2018 cosmology, and using the median HOD. The covariance is rescaled to match the volume of the base boxes.

Current usage metrics show cumulative count of Article Views (full-text article views including HTML views, PDF and ePub downloads, according to the available data) and Abstracts Views on Vision4Press platform.

Data correspond to usage on the plateform after 2015. The current usage metrics is available 48-96 hours after online publication and is updated daily on week days.

Initial download of the metrics may take a while.