Open Access

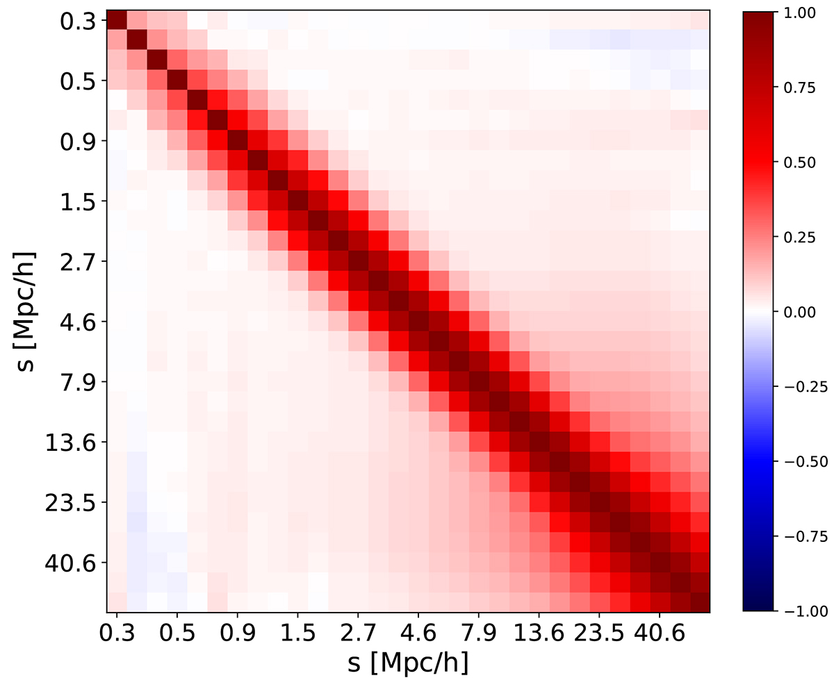
Fig. 8.

image

Download original image

Total correlation matrix of the MGP, including the model uncertainty prediction Ctot = Ccosmic + Cemu(θΩ, θhod). The measurement uncertainty Ccosmic was evaluated for the Planck 2018 cosmology with the median HOD using the 1400 small boxes.

Current usage metrics show cumulative count of Article Views (full-text article views including HTML views, PDF and ePub downloads, according to the available data) and Abstracts Views on Vision4Press platform.

Data correspond to usage on the plateform after 2015. The current usage metrics is available 48-96 hours after online publication and is updated daily on week days.

Initial download of the metrics may take a while.