Open Access

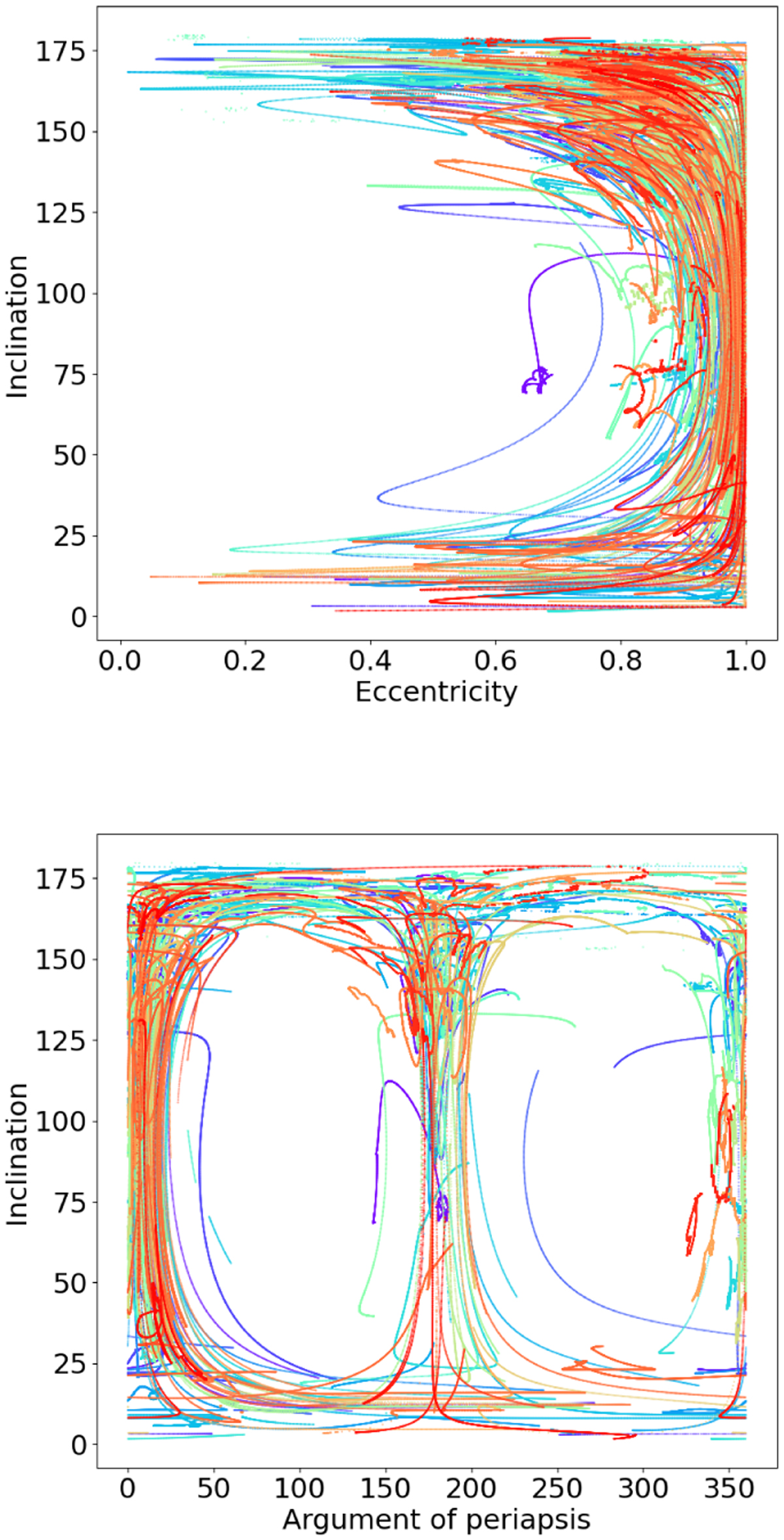
Fig. 9

image

Download original image

Trajectories on eccentricity inclination and inclination argument of pericentre planes. The plots include orbits of all objects for the last two years of simulation time span. Different colours are used to distinguish different particles, but due to the large number of objects, the same colour may be used by more than one particle.

Current usage metrics show cumulative count of Article Views (full-text article views including HTML views, PDF and ePub downloads, according to the available data) and Abstracts Views on Vision4Press platform.

Data correspond to usage on the plateform after 2015. The current usage metrics is available 48-96 hours after online publication and is updated daily on week days.

Initial download of the metrics may take a while.