Fig. D.10

Download original image
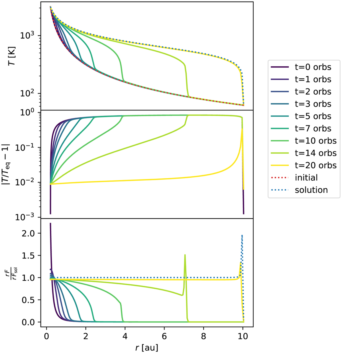
Equilibration of a radial temperature profile due to radiation transport in the midplane with a constant opacity. This is used to test the FLD module. The panels show, from top to bottom, the radial temperature profile, the deviation from the equilibrium solution, and the azimuthally integrated flux through a ring at the respective radius, normalized by the equilibrium flux. Time is indicated by the color of the lines.
Current usage metrics show cumulative count of Article Views (full-text article views including HTML views, PDF and ePub downloads, according to the available data) and Abstracts Views on Vision4Press platform.
Data correspond to usage on the plateform after 2015. The current usage metrics is available 48-96 hours after online publication and is updated daily on week days.
Initial download of the metrics may take a while.