Fig. D.1

Download original image
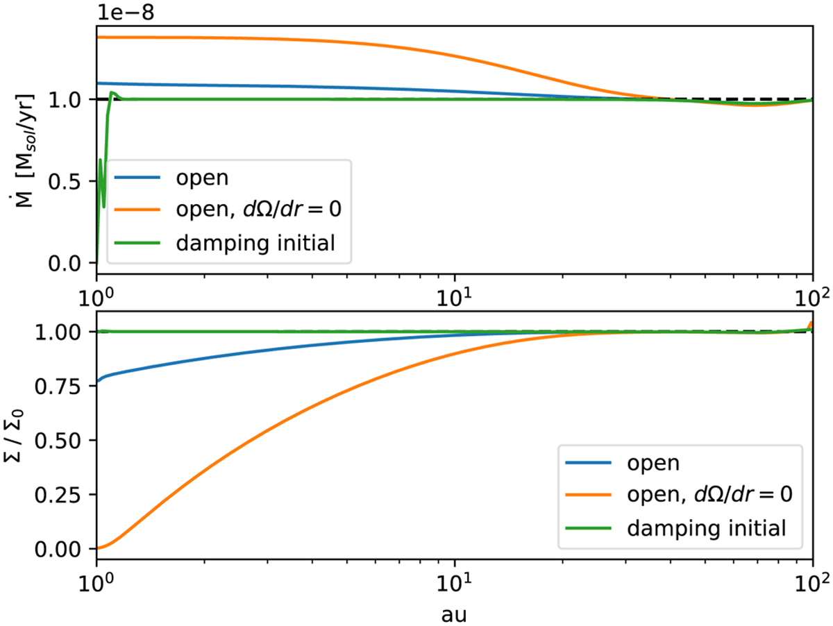
Outflow boundary removes more mass than supplied by the disk. The figure shows the accretion rate through the disk and surface density for different choices of boundary conditions. The top and bottom panels show the mass per unit of time flowing through a ring of a given radius and the ratio of surface density to its initial value, respectively.
Current usage metrics show cumulative count of Article Views (full-text article views including HTML views, PDF and ePub downloads, according to the available data) and Abstracts Views on Vision4Press platform.
Data correspond to usage on the plateform after 2015. The current usage metrics is available 48-96 hours after online publication and is updated daily on week days.
Initial download of the metrics may take a while.