Open Access
Fig. D.4

Download original image
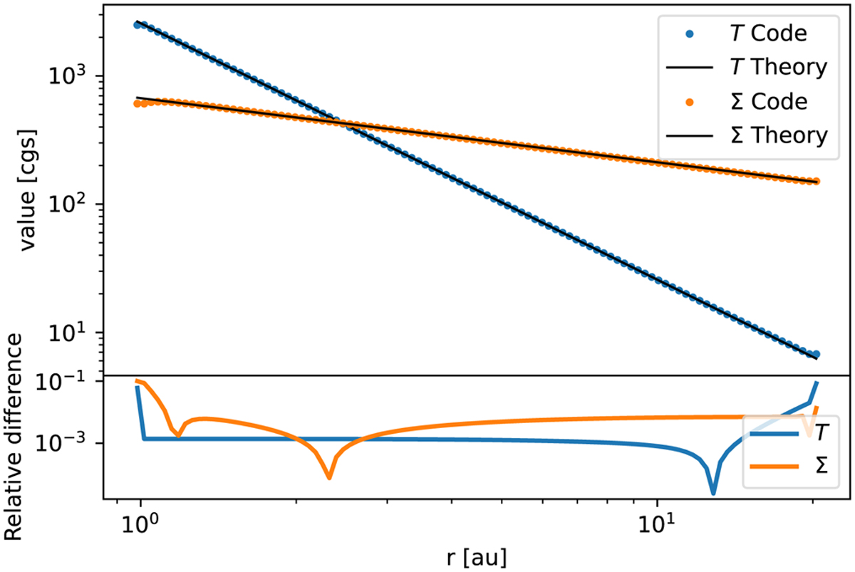
Gas surface density and temperature profile in the hydrostatic equilibrium for the model from D’Angelo et al. (2003) together with the expected theoretical profiles.
Current usage metrics show cumulative count of Article Views (full-text article views including HTML views, PDF and ePub downloads, according to the available data) and Abstracts Views on Vision4Press platform.
Data correspond to usage on the plateform after 2015. The current usage metrics is available 48-96 hours after online publication and is updated daily on week days.
Initial download of the metrics may take a while.