Fig. 2.

Download original image
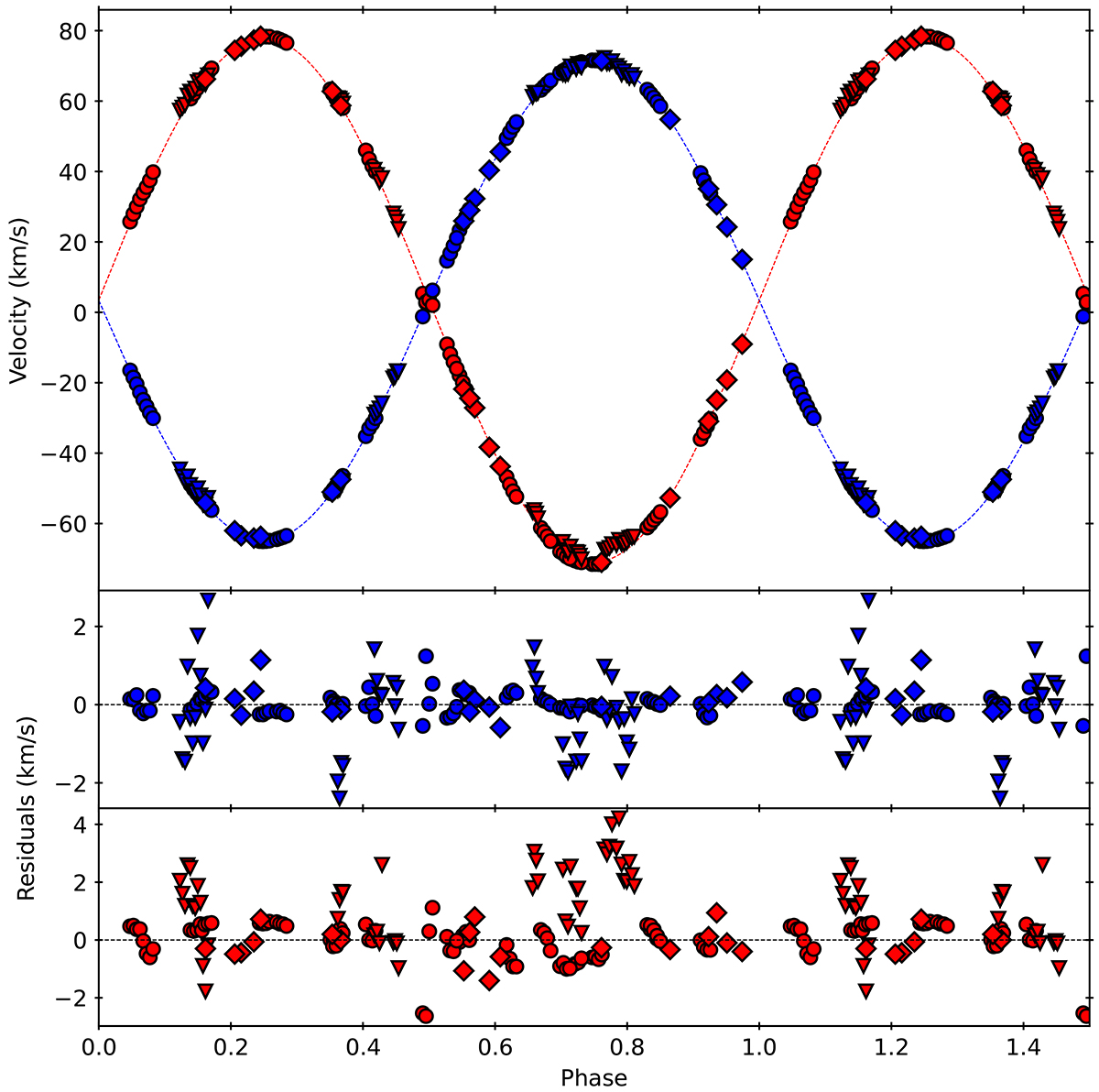
Top: Orbital solution for CU Cnc, shown as a function of the orbital phase. Circles mark the individual radial velocities obtained from the LSD profiles in this work (see Table A.1), and triangles and diamonds correspond to the measurements taken from W17 and D99 respectively. Dashed lines show the best-fit orbital solution. The blue and red colours refer to the primary and secondary components, respectively. Bottom: Residuals between the individual radial velocity measurements and the orbital solution for the primary (upper panel) and secondary (lower panel) component.
Current usage metrics show cumulative count of Article Views (full-text article views including HTML views, PDF and ePub downloads, according to the available data) and Abstracts Views on Vision4Press platform.
Data correspond to usage on the plateform after 2015. The current usage metrics is available 48-96 hours after online publication and is updated daily on week days.
Initial download of the metrics may take a while.