Fig. 3

Download original image
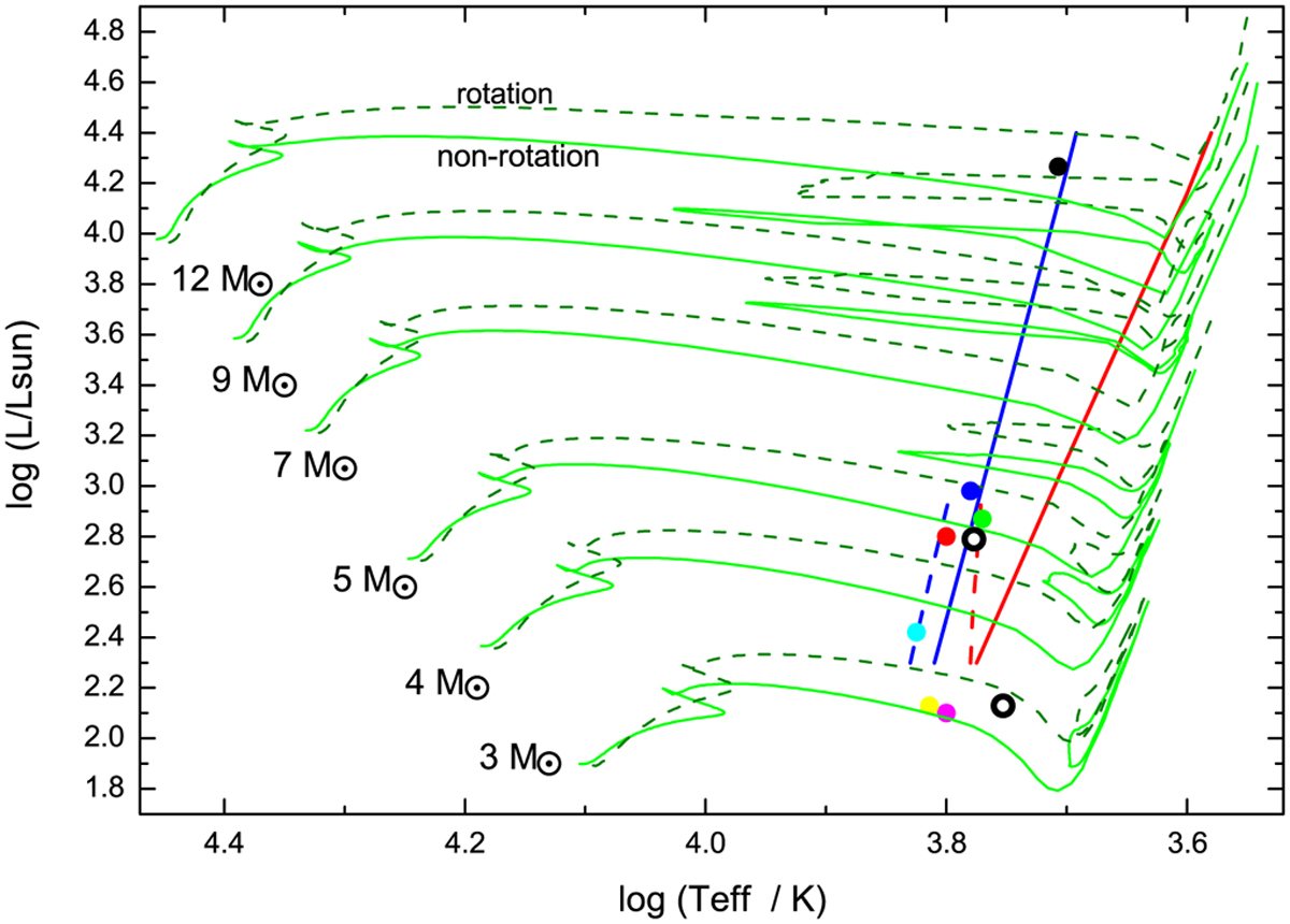
HR diagram. The positions of our program Cepheid (black circle) and other lithium Cepheids described in the literature are indicated (V371 Per, blue; V1033 Cyg, green; ASAS 131714-6605.0, red; V363 Cas, cyan; ASAS 075842-2536.1, yellow; OGLE GD-CEP-0516, magenta circles; and two nonvariable supergiants, open circles). We plot the evolutionary tracks from Ekström et al. (2012) for 3–12 solar masses with and without rotation. The solid and dashed lines denote the blue and red boundaries of the instability strip for the usual classic Cepheids and so-called s-Cepheids (first-overtone Cepheids have sinusoidal light curves), respectively.
Current usage metrics show cumulative count of Article Views (full-text article views including HTML views, PDF and ePub downloads, according to the available data) and Abstracts Views on Vision4Press platform.
Data correspond to usage on the plateform after 2015. The current usage metrics is available 48-96 hours after online publication and is updated daily on week days.
Initial download of the metrics may take a while.