Fig. 2

Download original image
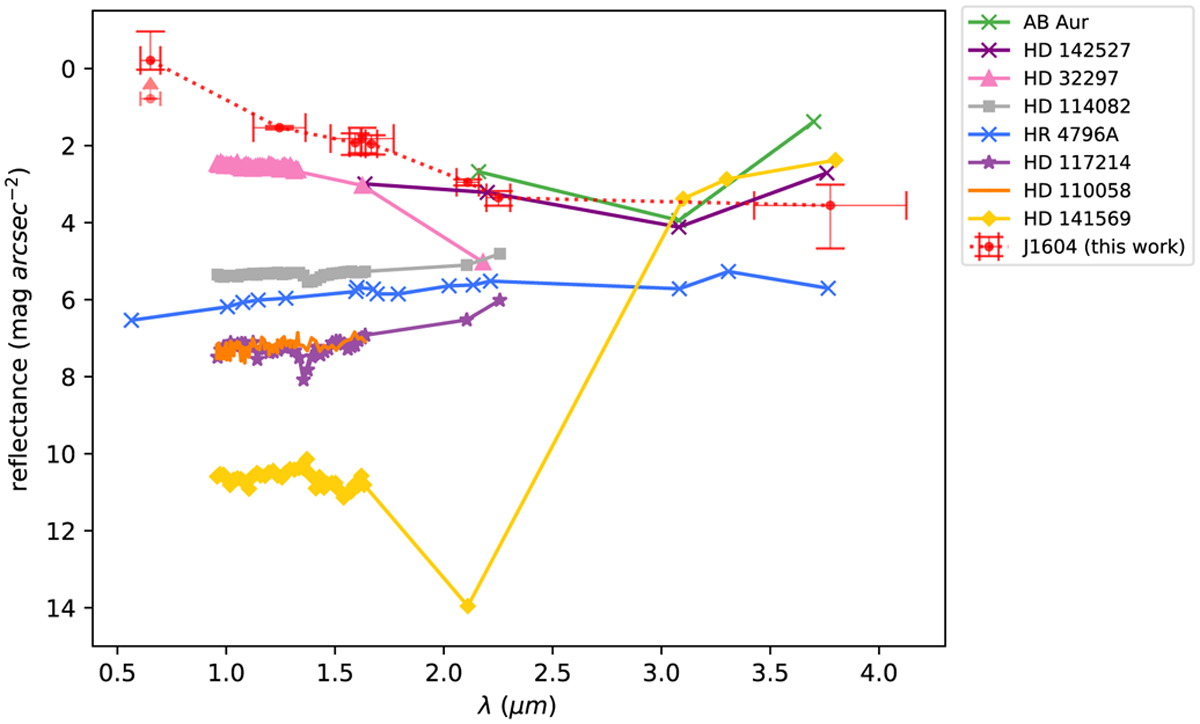
Reflectance of different bands and different disk including HR 4796A (Debes et al. 2008; Rodigas et al. 2015; Milli et al. 2017), HD 32297 (Bhowmik et al. 2019), AB Aur (Betti et al. 2022), HD 142527 (Honda et al. 2009), HD 141569 (Singh et al. 2021; Kueny et al. 2024), HD 110058 (Stasevic et al. 2023), HD 114082, and HD 117214 (Engler et al. 2023). We scaled these disks with the square of their radial distances ratio to J1604 (see Sect. 4.2). For J1604 in the R band, we estimate the total intensity reflectance using polarization data while assuming a polarization fraction (see Sect. 3.2). Because of stellar activity and the resulting lag in photon arrival times between the star and the disk, the accuracy of the reflectance measurement is limited (see Sect. 4.1).
Current usage metrics show cumulative count of Article Views (full-text article views including HTML views, PDF and ePub downloads, according to the available data) and Abstracts Views on Vision4Press platform.
Data correspond to usage on the plateform after 2015. The current usage metrics is available 48-96 hours after online publication and is updated daily on week days.
Initial download of the metrics may take a while.