Open Access

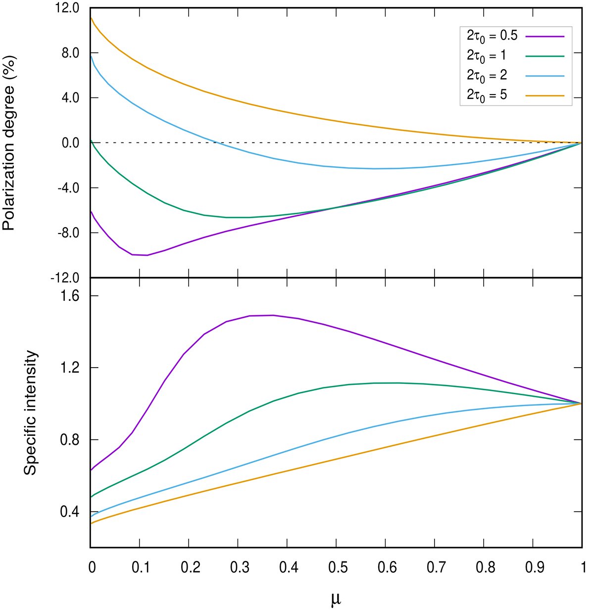
Fig. 3.

image

Download original image

Angular distribution of total PD (upper panel) and normalized specific intensity (lower panel) emerging from the upper layer of the plane-parallel atmosphere and different values of the optical depth. Seed photons are located at the base of the slab (Case 1). For positive values of the PD, the PA is coplanar to the slab; for negative values it is parallel to the normal.

Current usage metrics show cumulative count of Article Views (full-text article views including HTML views, PDF and ePub downloads, according to the available data) and Abstracts Views on Vision4Press platform.

Data correspond to usage on the plateform after 2015. The current usage metrics is available 48-96 hours after online publication and is updated daily on week days.

Initial download of the metrics may take a while.