Open Access

Fig. 5.

image

Download original image

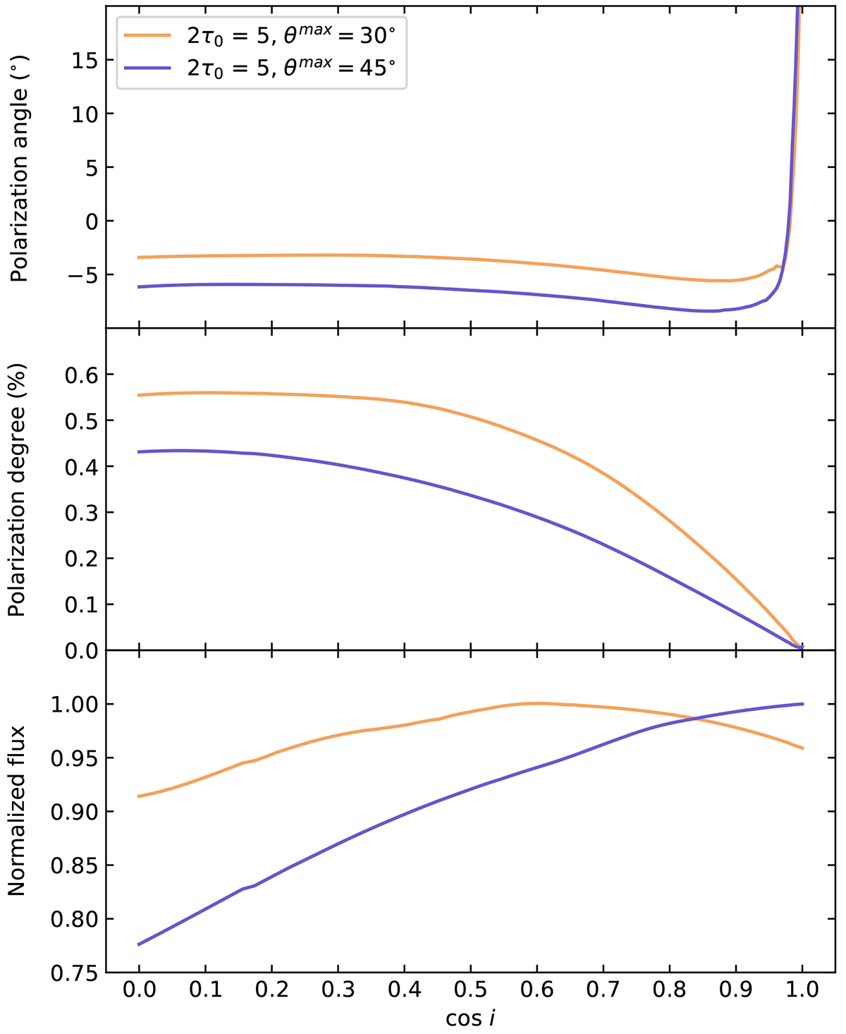
Total PA (upper panel), PD (middle panel), and normalized intensity (lower panel) of the BL as a function of the viewing angle with seed photons at the base of the slab (Case 1) for an optical depth of 2τ0 = 5, spin frequency of νbl = 500 Hz, and two values of the BL latitude. The PA is measured with respect to the projection on the sky of the NS spin axis.

Current usage metrics show cumulative count of Article Views (full-text article views including HTML views, PDF and ePub downloads, according to the available data) and Abstracts Views on Vision4Press platform.

Data correspond to usage on the plateform after 2015. The current usage metrics is available 48-96 hours after online publication and is updated daily on week days.

Initial download of the metrics may take a while.