Open Access
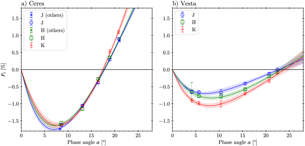
Fig. 1

Download original image
PPCs of two objects in the NIR data from this study (star) and a previous publication (circle; Masiero et al. 2022). The solid lines are the least-square solutions, and the shaded areas show the MC 1σ bounds.
Current usage metrics show cumulative count of Article Views (full-text article views including HTML views, PDF and ePub downloads, according to the available data) and Abstracts Views on Vision4Press platform.
Data correspond to usage on the plateform after 2015. The current usage metrics is available 48-96 hours after online publication and is updated daily on week days.
Initial download of the metrics may take a while.