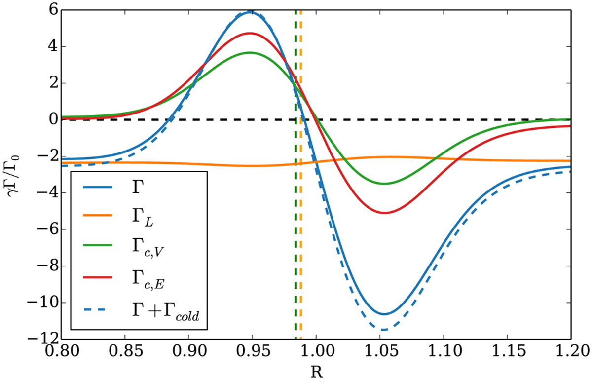
Fig. 3

Download original image
Torque profile of the fiducial simulation, with St = 0.01 and α = 10−4, at a point in time when migration is halted. Overplotted are the contributions from the Lindblad torque, ΓL, vortensity-related corotation torque, Γc,V, and entropy-related corotation torque, Γc,V. The dashed line shows the total torque in the case where the cold torque, Γcold, is taken into account.
Current usage metrics show cumulative count of Article Views (full-text article views including HTML views, PDF and ePub downloads, according to the available data) and Abstracts Views on Vision4Press platform.
Data correspond to usage on the plateform after 2015. The current usage metrics is available 48-96 hours after online publication and is updated daily on week days.
Initial download of the metrics may take a while.