Fig. 4.

Download original image
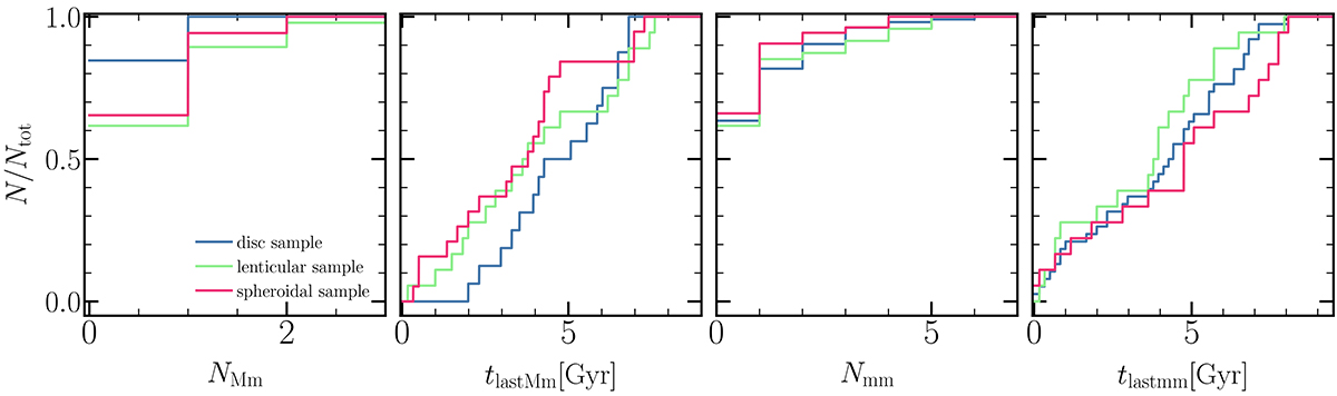
Merger histories of the three galaxy samples as specified in the legend. From left to right: cumulative distribution of major mergers, cumulative distribution of the last major merger, cumulative distribution of the minor mergers, and cumulative distribution of the last minor merger. Overall, the descendant disc galaxies have more quiet major merger histories when compared to lenticular and spheroidal descendant galaxies.
Current usage metrics show cumulative count of Article Views (full-text article views including HTML views, PDF and ePub downloads, according to the available data) and Abstracts Views on Vision4Press platform.
Data correspond to usage on the plateform after 2015. The current usage metrics is available 48-96 hours after online publication and is updated daily on week days.
Initial download of the metrics may take a while.