Fig. 8

Download original image
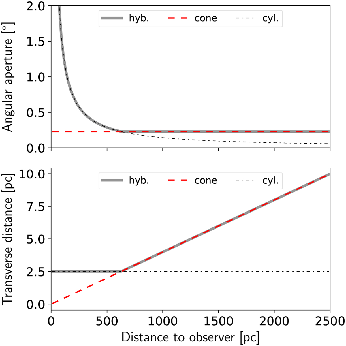
Beam sizes as a function of distance from the observer. Top: angular aperture radius of our hybrid beam (continuous gray) resulting from the combination of a conical beam (red dashed) and cylindrical beam (dot-dashed). Bottom: extent of the beams in the transverse direction to the LOS. Same line convention as in the top panel. In this example the cylinder radius is fixed at 2.5 pc and the angular radius of the cone at 13.74 arcmin. For the hybrid beams, the cylindrical geometry prevails at distances smaller than ≈630 pc, while the conical geometry prevails at larger distances.
Current usage metrics show cumulative count of Article Views (full-text article views including HTML views, PDF and ePub downloads, according to the available data) and Abstracts Views on Vision4Press platform.
Data correspond to usage on the plateform after 2015. The current usage metrics is available 48-96 hours after online publication and is updated daily on week days.
Initial download of the metrics may take a while.