Fig. 5

Download original image
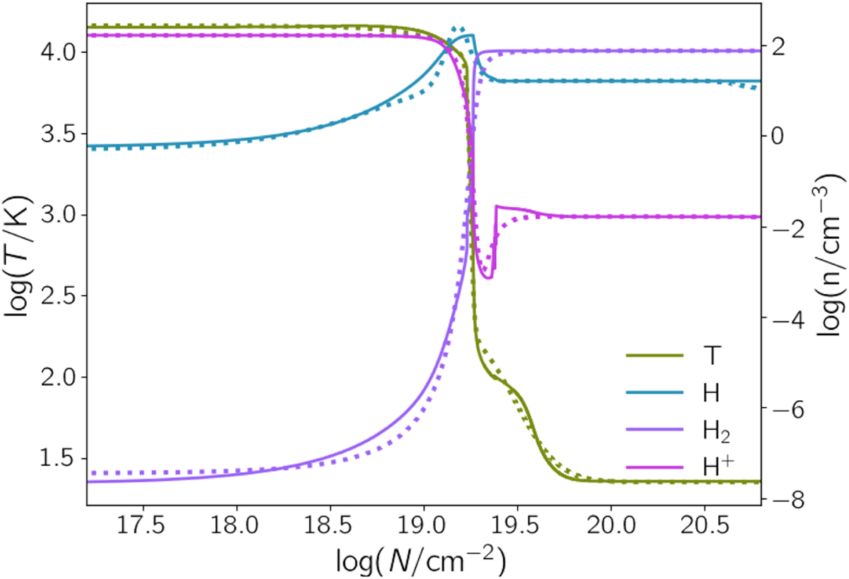
Photo-dissociation region (PDR) benchmark. Temperature (T, right axis) and density of main hydrogen species (H, H+, and H2, left axis) profiles as a function of column density (N) obtained for an impinging radiation flux of 10 G0 propagating in a Z = Z⊙ slab (see Sect. 3.2 for details of the model). Solid lines represent the numerical solutions computed with KROME at equilibrium (t ~ 1 Kyr), dashed lines represent the solution predicted by the emulator. Note: each point in the profile at a given N is treated independently by the emulator.
Current usage metrics show cumulative count of Article Views (full-text article views including HTML views, PDF and ePub downloads, according to the available data) and Abstracts Views on Vision4Press platform.
Data correspond to usage on the plateform after 2015. The current usage metrics is available 48-96 hours after online publication and is updated daily on week days.
Initial download of the metrics may take a while.