Fig. 3.

Download original image
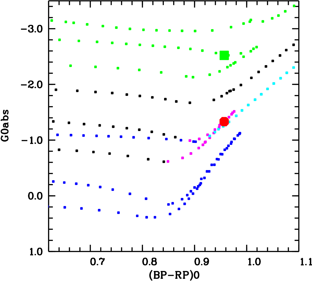
GHS143 (red circle) in the colour magnitude diagram compared to two isochrones at metallicity −1.65 highlighting the ranges for possible solutions: 500 Ma (black and pink, the evolution stages for the first two solutions) and 1 Ga (dark blue and light blue, the evolution stage for the third solution). The solution with the Gaia DR3 parallax (large green square) adopted in Paper II is compared to the isochrone with an age of 200 Ma (green points).
Current usage metrics show cumulative count of Article Views (full-text article views including HTML views, PDF and ePub downloads, according to the available data) and Abstracts Views on Vision4Press platform.
Data correspond to usage on the plateform after 2015. The current usage metrics is available 48-96 hours after online publication and is updated daily on week days.
Initial download of the metrics may take a while.