Fig. 2.

Download original image
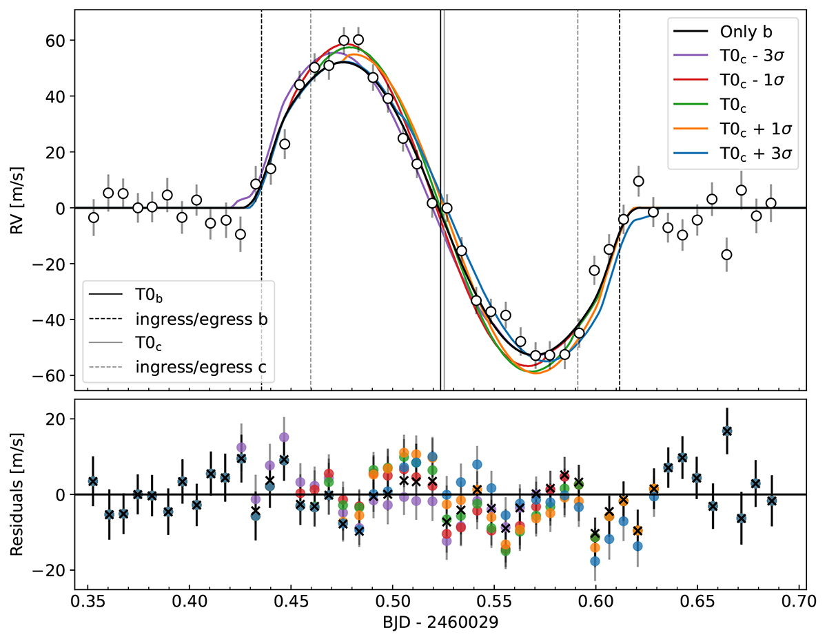
Combined RM effects of planets b and c simulated at different times of inferior conjunction of planet c. For planet c, we assumed null obliquity, while we fixed all the other parameters to the value reported in Table 1 and in MG24. For comparison, the RM effect of planet b alone (see Fig. 1) is shown as a black line in the upper plot, while black crosses denote the residuals. The vertical lines denote the propagated ephemeris of planets b and c from MG24.
Current usage metrics show cumulative count of Article Views (full-text article views including HTML views, PDF and ePub downloads, according to the available data) and Abstracts Views on Vision4Press platform.
Data correspond to usage on the plateform after 2015. The current usage metrics is available 48-96 hours after online publication and is updated daily on week days.
Initial download of the metrics may take a while.