Fig. D.1.

Download original image
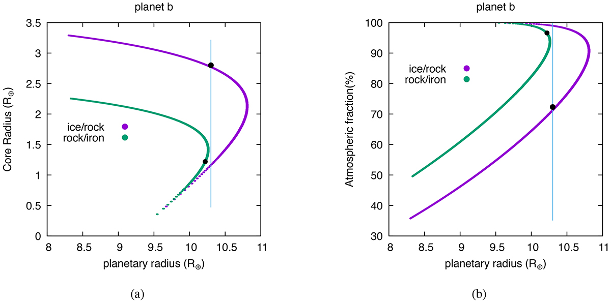
Solutions of core–envelope models for planet TOI-5398 b. (Left) Core radius vs. theoretical planetary radius for total mass fixed at the measured value and a rock-ice core (locus of purple points) or a rock-iron core (green points). The vertical line indicates the measured planetary radius. The two black points mark two different configurations selected for exploring the photoevaporation history of the planet. (Right) Similar to the previous plot but for the atmospheric mass fraction.
Current usage metrics show cumulative count of Article Views (full-text article views including HTML views, PDF and ePub downloads, according to the available data) and Abstracts Views on Vision4Press platform.
Data correspond to usage on the plateform after 2015. The current usage metrics is available 48-96 hours after online publication and is updated daily on week days.
Initial download of the metrics may take a while.