Fig. D.2.

Download original image
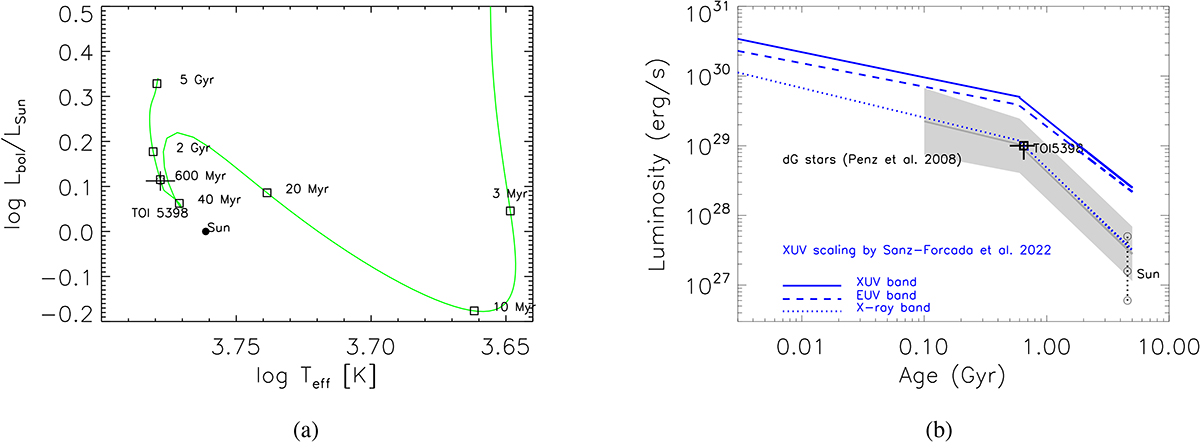
(Left) Evolutionary track of TOI 5398 up to an age of 5 Gyr in the effective temperature–bolometric luminosity plane. A black cross marks the current location of the star on the track. (Right) Time evolution of X-ray (5–100 Å), EUV (100–920 Å), and total XUV luminosity of TOI 5398, according to Penz et al. (2008) and the X-ray/EUV scaling by Sanz-Forcada et al. (2022). The grey area is the observed 1σ spread around the median (dark grey line) of the X-ray luminosity distributions for dG stars in the Hyades and Pleiades open clusters. Uncertainties on the age and X-ray luminosity of TOI 5398 are also indicated.
Current usage metrics show cumulative count of Article Views (full-text article views including HTML views, PDF and ePub downloads, according to the available data) and Abstracts Views on Vision4Press platform.
Data correspond to usage on the plateform after 2015. The current usage metrics is available 48-96 hours after online publication and is updated daily on week days.
Initial download of the metrics may take a while.