Fig. E.1.

Download original image
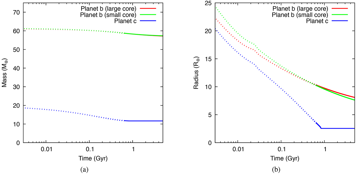
Evolutionary history of TOI-5398 planets. Panels (a) and (b) show the planetary mass and radius vs. time. Dotted segments indicate the evolution backwards from the current age and solid lines evolution forward in time. These simulations were constructed with the initial conditions given by the planetary mass and radius measured at the present age of 650 Myr.
Current usage metrics show cumulative count of Article Views (full-text article views including HTML views, PDF and ePub downloads, according to the available data) and Abstracts Views on Vision4Press platform.
Data correspond to usage on the plateform after 2015. The current usage metrics is available 48-96 hours after online publication and is updated daily on week days.
Initial download of the metrics may take a while.