Open Access
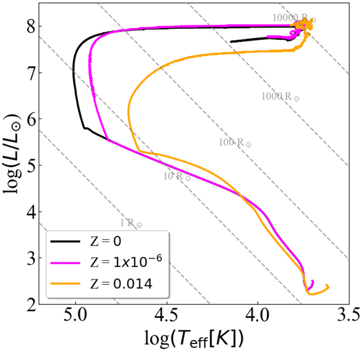
Fig. 6

Download original image
Evolution of three models computed using a constant accretion rate of 10−3 M⊙ yr−1 until the end of core silicon burning. The black line represents Z = 0, the magenta line Z = 1 × 10−6, and the orange line Z = 0.014. The iso-radius lines are represented in grey.
Current usage metrics show cumulative count of Article Views (full-text article views including HTML views, PDF and ePub downloads, according to the available data) and Abstracts Views on Vision4Press platform.
Data correspond to usage on the plateform after 2015. The current usage metrics is available 48-96 hours after online publication and is updated daily on week days.
Initial download of the metrics may take a while.