Fig. 10

Download original image
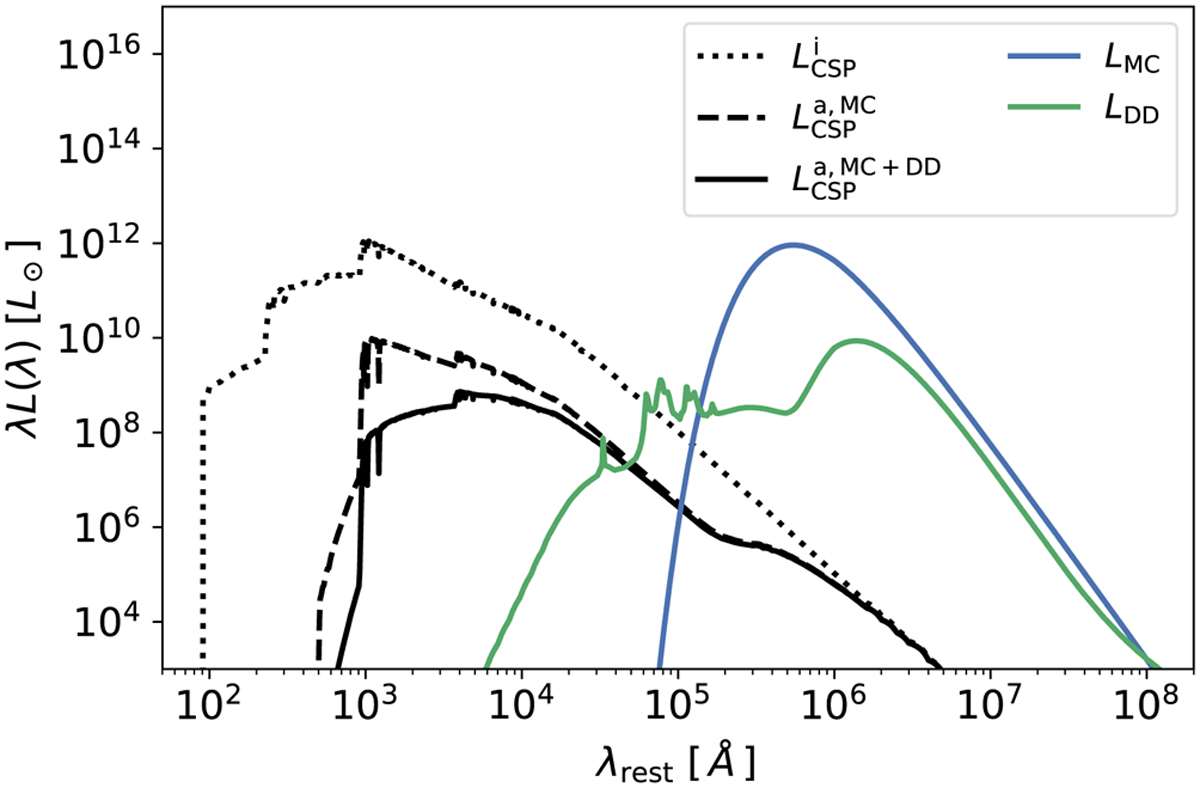
Impact of absorption from the two component dust models (molecular clouds, MC; diffuse dust, DD) implemented in GalaPy on the intrinsic stellar emission (dotted black line). Luminosity escaping from MCs is marked by a dashed black line, while the final stellar emission escaping MCs and DD is shown by a solid black line. The luminosity re-emitted in the IR bands is highlighted with a solid blue line for MCs and with a solid green line for the DD(+PAH) component.
Current usage metrics show cumulative count of Article Views (full-text article views including HTML views, PDF and ePub downloads, according to the available data) and Abstracts Views on Vision4Press platform.
Data correspond to usage on the plateform after 2015. The current usage metrics is available 48-96 hours after online publication and is updated daily on week days.
Initial download of the metrics may take a while.