Fig. 18

Download original image
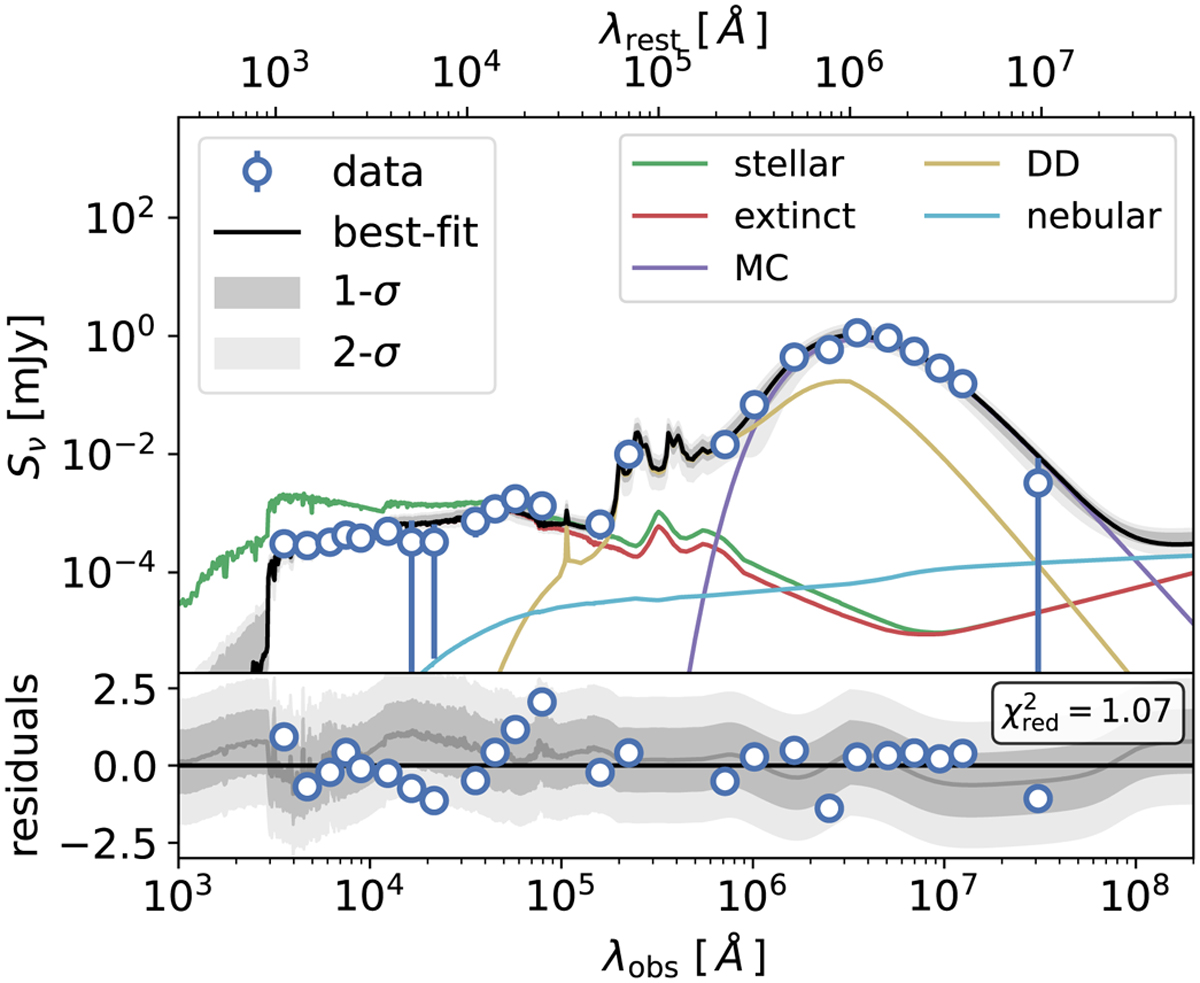
Results of the parameters sampling for one of the mock observation of Sect. 4.1. Upper panel: best-fit SED (black solid line) and components (coloured lines) compared to the mock observation data (empty blue markers); 1-σ and 2-σ confidence around the mean of the samples is also shown with grey shaded areas. Lower panel: residuals with respect to the best-fit sample (black); mean and 1-/2-σ confidence regions are also shown with a grey solid line and shaded areas, respectively.
Current usage metrics show cumulative count of Article Views (full-text article views including HTML views, PDF and ePub downloads, according to the available data) and Abstracts Views on Vision4Press platform.
Data correspond to usage on the plateform after 2015. The current usage metrics is available 48-96 hours after online publication and is updated daily on week days.
Initial download of the metrics may take a while.