Fig. 19

Download original image
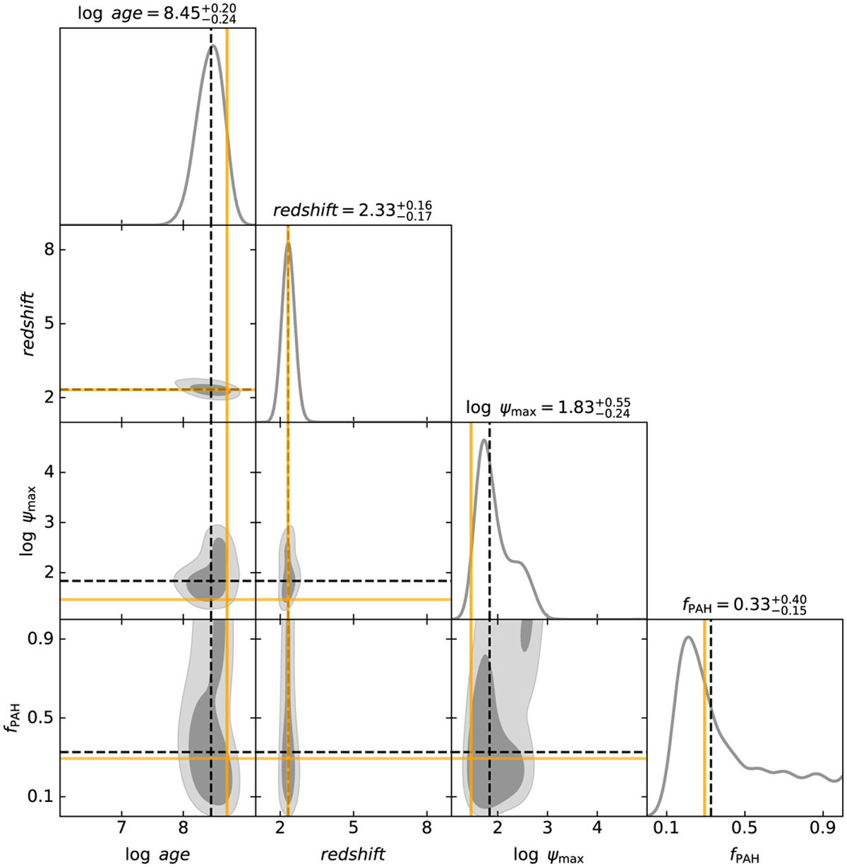
Corner plot of the parameter posteriors obtained for the mock galaxy selected in Sect. 4.1.2, illustrating the one- and two-dimensional marginalised posteriors for a subset of the parameter space dimensions (for clarity and visualisation reasons). The shaded grey regions highlight (68%, 95%) confidence from darker to lighter, corresponding to (1-σ, 2-σ). The dashed black lines mark the position of the weighted median value of parameters while the values above the diagonal panels show the median and 68% percentile around the median (roughly corresponding to 1-σ confidence in a Gaussian approximation). As a term of comparison, we also show mark, with orange solid lines, the real value of each parameter.
Current usage metrics show cumulative count of Article Views (full-text article views including HTML views, PDF and ePub downloads, according to the available data) and Abstracts Views on Vision4Press platform.
Data correspond to usage on the plateform after 2015. The current usage metrics is available 48-96 hours after online publication and is updated daily on week days.
Initial download of the metrics may take a while.