Open Access
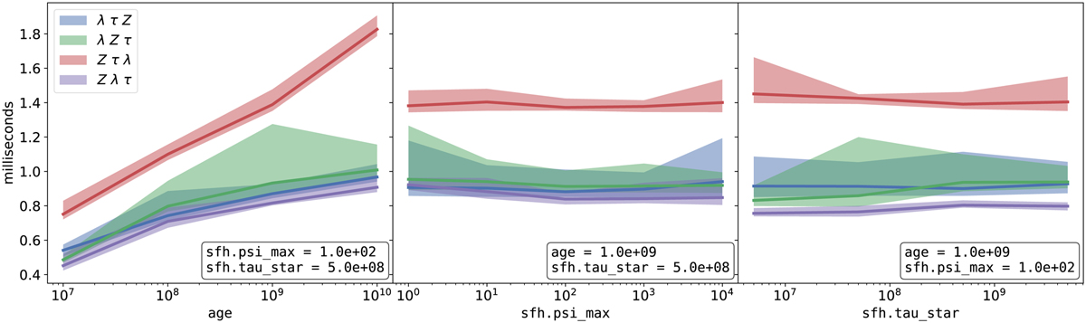
Fig. A.1

Download original image
Dependency of SSP integration performances on the 3-dimensional matrix ordering. Different colours mark different orderings, as reported in the legend. Each panel shows how the integration time changes as a function of one of the three model parameters on which Eq. (A.1) depends.
Current usage metrics show cumulative count of Article Views (full-text article views including HTML views, PDF and ePub downloads, according to the available data) and Abstracts Views on Vision4Press platform.
Data correspond to usage on the plateform after 2015. The current usage metrics is available 48-96 hours after online publication and is updated daily on week days.
Initial download of the metrics may take a while.