Fig. 5

Download original image
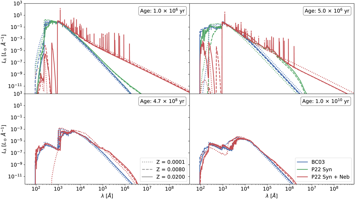
Comparison among the different simple stellar population libraries included in GalaPy: classic BC03 (blue), PARSEC22 without line emission (green), PARSEC22 with line emission (red). Linestyles refer to different metallicity as reported in legend. In all panels the approximate age of the stellar population is reported. In the top two panels we show SSPs from young stellar populations for whom the PARSEC22 models include the contribute of synchrotron (green models) as well as that of nebular emission (red models).
Current usage metrics show cumulative count of Article Views (full-text article views including HTML views, PDF and ePub downloads, according to the available data) and Abstracts Views on Vision4Press platform.
Data correspond to usage on the plateform after 2015. The current usage metrics is available 48-96 hours after online publication and is updated daily on week days.
Initial download of the metrics may take a while.