Fig. 9

Download original image
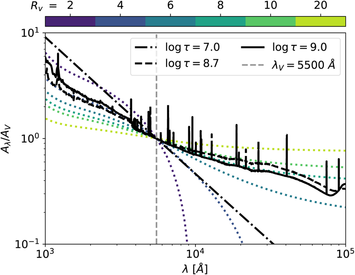
Overall attenuation curve at ages of 107 yr (dot-dashed, i.e. 0.5τesc), 5 × 108 yr (dashed, i.e. 10τesc), and 109 yr (solid, i.e. 20τesc), we include age effects and plot the value in units of the attenuation in the visible band (λV ≈ 5500 Å). We note that these values correspond to the blue, green and red lines of Fig. 8. Our attenuation curves are compared with Calzetti-like attenuation curves (dotted) for different values of the total-to-selective extinction ratio RV in the V–band (colour-coded).
Current usage metrics show cumulative count of Article Views (full-text article views including HTML views, PDF and ePub downloads, according to the available data) and Abstracts Views on Vision4Press platform.
Data correspond to usage on the plateform after 2015. The current usage metrics is available 48-96 hours after online publication and is updated daily on week days.
Initial download of the metrics may take a while.