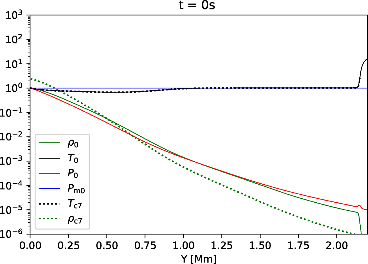
Fig. 2.

Download original image
Initial distributions of the temperature, plasma density, thermal pressure, and magnetic pressure along the vertical direction. The variables are normalized by using the reference values at y = 0 km. These reference values are 𝜚ref = 10−3.72 kg m−3, Tref = 103.84 K, Pref = 104.05 Pa, Pmref = 103.6 Pa. The dotted black line and the dotted green line represent the distributions of the temperature and plasma density in the C7 atmosphere model, respectively.
Current usage metrics show cumulative count of Article Views (full-text article views including HTML views, PDF and ePub downloads, according to the available data) and Abstracts Views on Vision4Press platform.
Data correspond to usage on the plateform after 2015. The current usage metrics is available 48-96 hours after online publication and is updated daily on week days.
Initial download of the metrics may take a while.