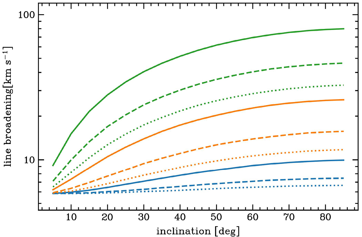
Fig. A.1.

Download original image
Line broadening (i.e. velocity dispersion) of the integrated mock 1D spectra for different models of rotating disks as a function of disk inclination with respect to the line of sight. The blue, orange, and green lines show the line broadening for galaxies with masses of 107 M⊙, 108 M⊙, and 109 M⊙, respectively. Disk models with a half-light radius of 0.1 kpc, 0.3 kpc, and 0.7 kpc are reported with continuous, dashed, and dotted lines, respectively.
Current usage metrics show cumulative count of Article Views (full-text article views including HTML views, PDF and ePub downloads, according to the available data) and Abstracts Views on Vision4Press platform.
Data correspond to usage on the plateform after 2015. The current usage metrics is available 48-96 hours after online publication and is updated daily on week days.
Initial download of the metrics may take a while.