Fig. 13.

Download original image
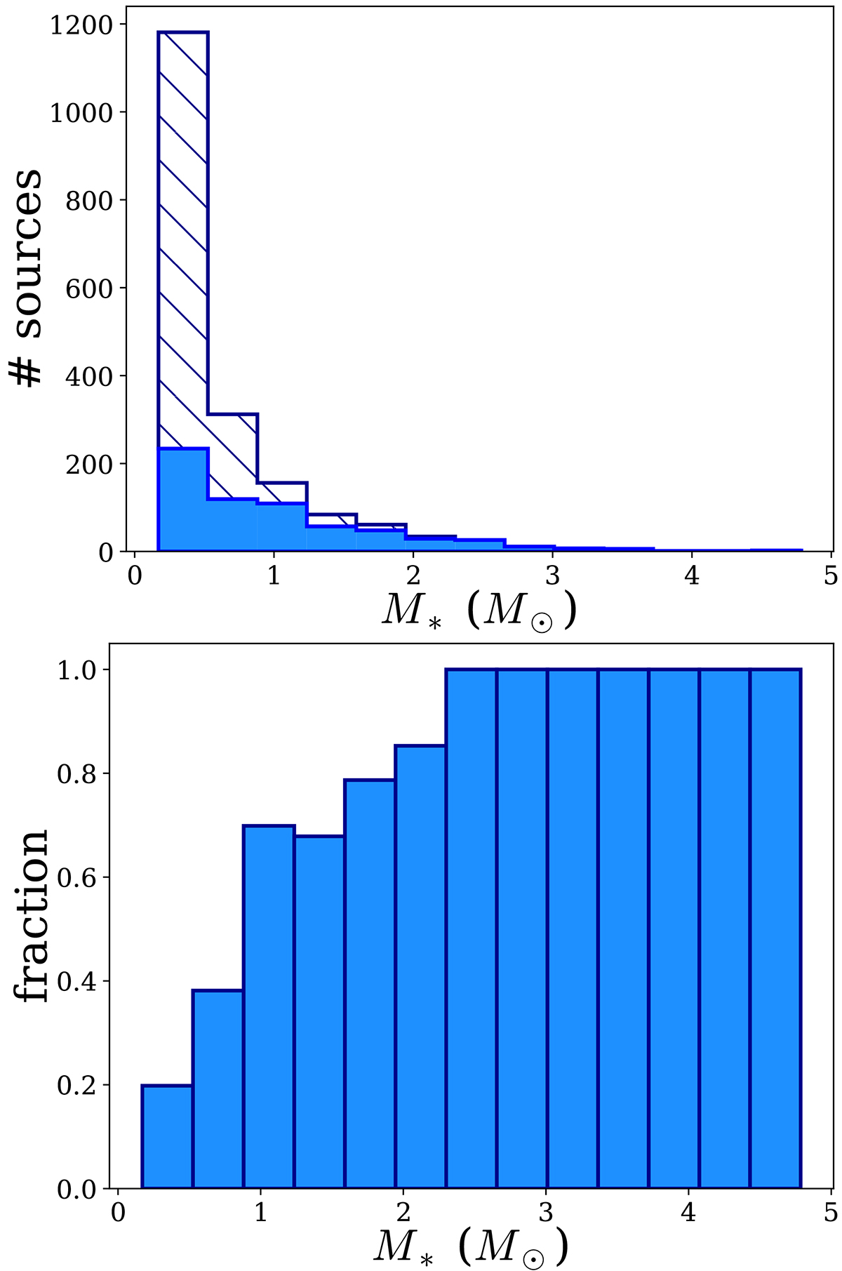
Distribution of stellar masses in Tr 14 for stars with log(Teff) < 3.73. Top: filled histograms present the distribution of the masses of stars analysed in this paper. On top of it (hatched histogram) we display the distribution of the probable members with uncertain photometry removed from the analysis due to the high variability of the background emission. As is expected, most of the removed stars are faint, low-mass objects. Bottom: fraction of stars in the final spectroscopic catalogue within each mass bin relative to the combined catalogues of the final sample and probable members with uncertain photometry due to the variable background emission. The bins are the same as in the upper panel.
Current usage metrics show cumulative count of Article Views (full-text article views including HTML views, PDF and ePub downloads, according to the available data) and Abstracts Views on Vision4Press platform.
Data correspond to usage on the plateform after 2015. The current usage metrics is available 48-96 hours after online publication and is updated daily on week days.
Initial download of the metrics may take a while.