Open Access
Fig. 10.

Download original image
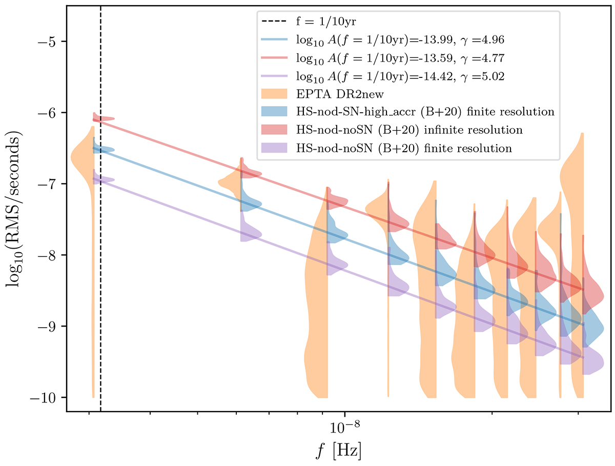
Binned spectrum of the predicted GWB amplitude for models “HS-nod-SN-high-accr (B+20)” and “HS-nod-noSN (B+20)”. The distribution of the predictions represents the scatter among different realizations of the SMBHB population (“cosmic variance”). Also shown are power-law fits to the predictions.
Current usage metrics show cumulative count of Article Views (full-text article views including HTML views, PDF and ePub downloads, according to the available data) and Abstracts Views on Vision4Press platform.
Data correspond to usage on the plateform after 2015. The current usage metrics is available 48-96 hours after online publication and is updated daily on week days.
Initial download of the metrics may take a while.