Open Access
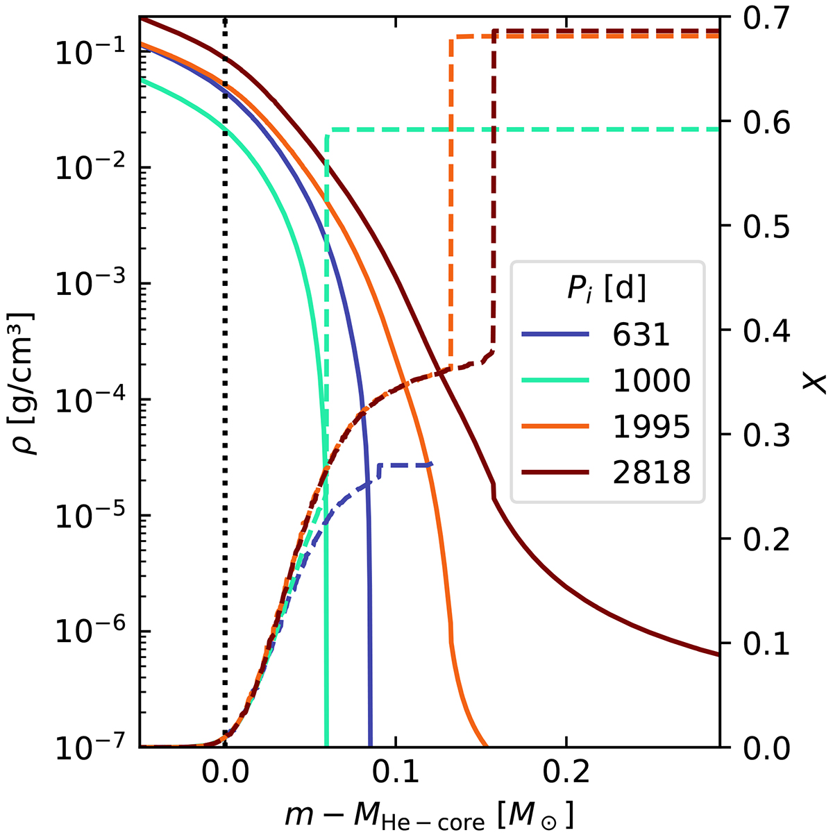
Fig. C.2.

Download original image
Close-up view of the density (solid) and hydrogen (dashed) profile around the core-envelope boundary in some of the models with qi = 0.95 at the time of core collapse. The dotted line indicates the location of the helium core mass as evaluated from MESA.
Current usage metrics show cumulative count of Article Views (full-text article views including HTML views, PDF and ePub downloads, according to the available data) and Abstracts Views on Vision4Press platform.
Data correspond to usage on the plateform after 2015. The current usage metrics is available 48-96 hours after online publication and is updated daily on week days.
Initial download of the metrics may take a while.