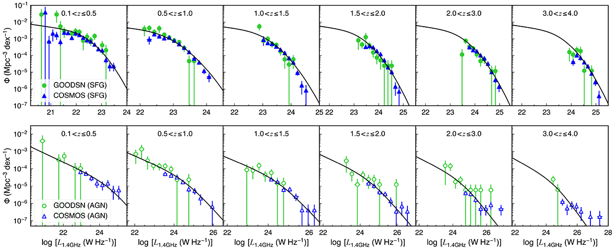
Fig. C.1.

Download original image
1.4 GHz radio luminosity function of SFGs (top row) and radio-excess AGNs (bottom row) in each field (green circles: GOODS-N; blue triangles: COSMOS/UltraVISTA). The black solid curves in the top row represent the best-fit model (PLE) for SFGs. The black solid curves in the bottom row represent the best-fit model (PDE) for radio-excess AGNs.
Current usage metrics show cumulative count of Article Views (full-text article views including HTML views, PDF and ePub downloads, according to the available data) and Abstracts Views on Vision4Press platform.
Data correspond to usage on the plateform after 2015. The current usage metrics is available 48-96 hours after online publication and is updated daily on week days.
Initial download of the metrics may take a while.