Fig. G.1.

Download original image
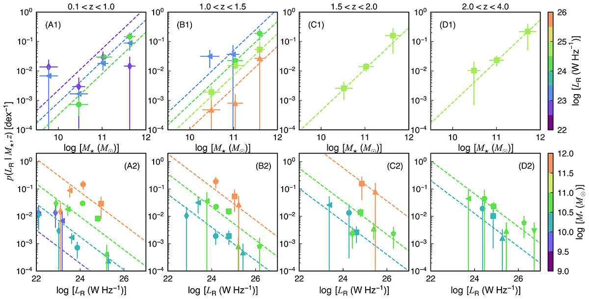
Estimates of p(LR | M⋆, z) as a function of M⋆ and LR based on our maximum-likelihood fitting results for QGs. The colored dashed lines in the top and bottom rows represent our best-fit model from the unbinned maximum-likelihood fitting (see Equation 28 and Table 2) through combining data in the three fields (GOODS-N and COSMOS/UltraVISTA) over the entire redshift range (0.1 < z < 4) evaluated at the center of each redshift bin. The binned data points are scaled with the probability estimated by the model (see Equation 28) using the Nobs/Nmdl method of Aird et al. (2012) (see details in Section 6.3.3). In the top panel, the different colors represent different M⋆ bins. In the bottom panel, the different colors indicate different LR bins.
Current usage metrics show cumulative count of Article Views (full-text article views including HTML views, PDF and ePub downloads, according to the available data) and Abstracts Views on Vision4Press platform.
Data correspond to usage on the plateform after 2015. The current usage metrics is available 48-96 hours after online publication and is updated daily on week days.
Initial download of the metrics may take a while.