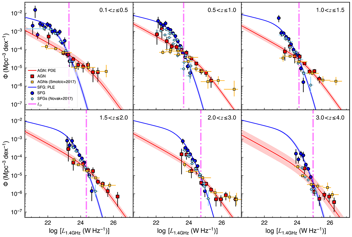
Fig. 5.

Download original image
1.4 GHz radio luminosity function of SFGs (blue circles) and radio-excess AGNs (red squares) in different redshift bins. For SFGs, the blue solid line represents the best-fit PLE model, which is the best model to describe the data in this work. For radio-excess AGNs, the red solid line represents the best-fit PDE model, which is the best model to describe the data. The magenta vertical dash-dotted line represents the turnover luminosity between the radio luminosity function of SFGs and radio-excess AGNs (see details in Sect. 5.4). The light blue circles show the results for SFGs from the VLA-COSMOS 3 GHz project (Novak et al. 2017), while the gold squares show the results for radio-AGNs from the VLA-COSMOS 3 GHz project (Smolčić et al. 2017a). The redshift bins in this work have different definitions than in Novak et al. (2017) and Smolčić et al. (2017a).
Current usage metrics show cumulative count of Article Views (full-text article views including HTML views, PDF and ePub downloads, according to the available data) and Abstracts Views on Vision4Press platform.
Data correspond to usage on the plateform after 2015. The current usage metrics is available 48-96 hours after online publication and is updated daily on week days.
Initial download of the metrics may take a while.