Fig. 6.

Download original image
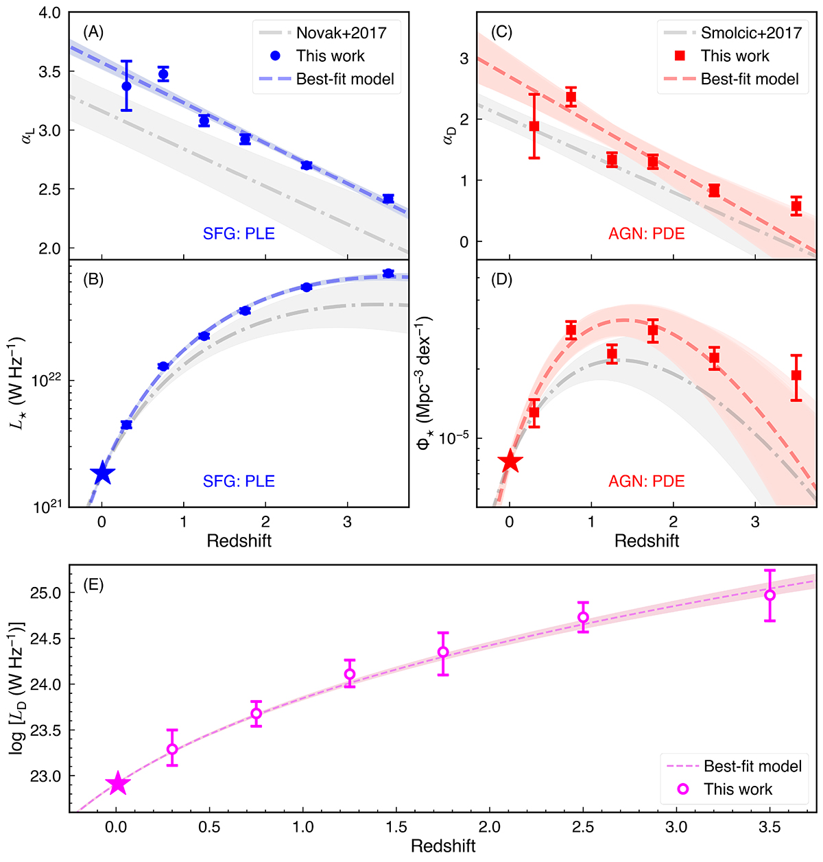
Evolution of the best-fit parameters for the 1.4 GHz radio radio luminosity function with redshift. Shown are the evolution parameter (αL) of the pure luminosity evolution (PLE) for SFGs (Panel A); turnover position (L⋆) of the PLE for SFGs, calculated by Eq. (9) (Panel B); evolution parameter (αD) of the pure density evolution (PDE) for radio-excess AGN (Panel C); turnover normalization (Φ⋆) of the PDE for radio-excess AGN, calculated by Eq. (10) (Panel D); and turnover luminosity (LD) above which the number density of radio-AGNs surpasses that of SFGs (LD) (Panel E). The gray dash-dotted lines in Panels A and B represent the results for SFGs from Novak et al. (2017), while the gray regions represent the corresponding 1σ uncertainty. The gray dash-dotted lines in Panels C and D represent the results for radio-excess AGNs from Smolčić et al. (2017a), while the gray regions represent the corresponding 1σ uncertainty. The stars in Panels B and D represent the local values obtained by Novak et al. (2017) and Mauch & Sadler (2007), respectively. The magenta star in Panel E represents the local LD obtained by the cross point between the local SFGs RLF from Novak et al. (2017) and the local AGN RLF from Mauch & Sadler (2007). The best-fit values for αL, αD, L⋆, Φ⋆, and LD are summarized in Table 1.
Current usage metrics show cumulative count of Article Views (full-text article views including HTML views, PDF and ePub downloads, according to the available data) and Abstracts Views on Vision4Press platform.
Data correspond to usage on the plateform after 2015. The current usage metrics is available 48-96 hours after online publication and is updated daily on week days.
Initial download of the metrics may take a while.