Fig. 6.

Download original image
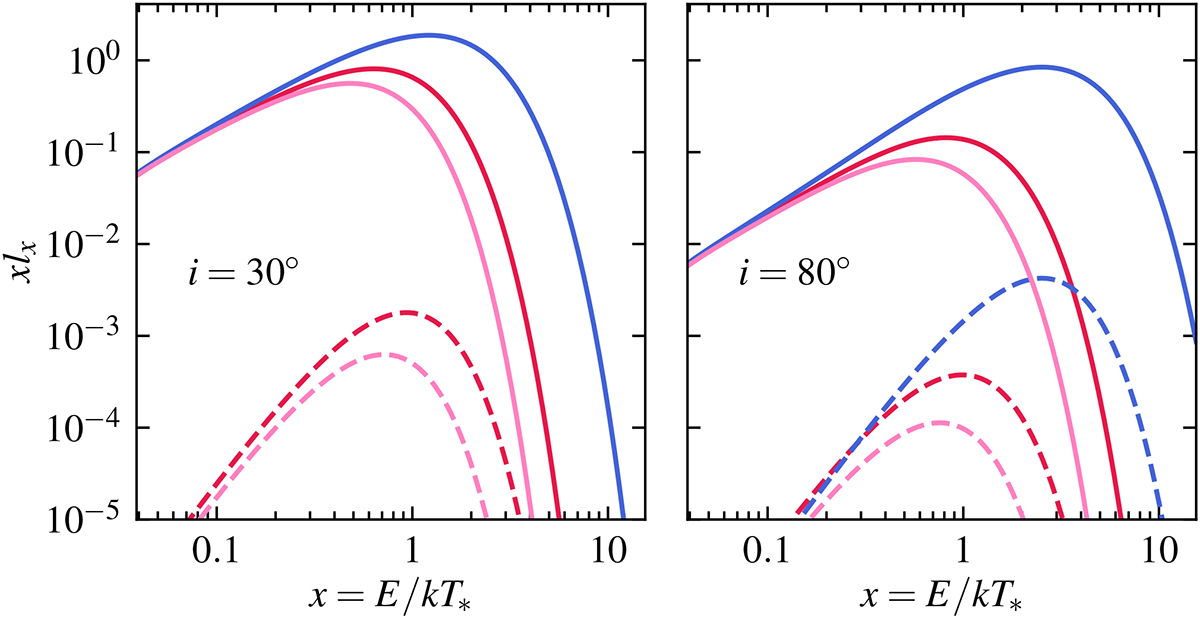
Contribution of secondary images to the observed accretion disk flux for two inclinations i = 30° (left panel) and 80° (right panel) and three BH spins a = −1 (pink line), 0 (red), and 0.95 (blue) as computed with the numerical ray-tracing code ARCMANCER. The contribution of the secondary images for i = 30° and a = 0.95 is below 10−5. The solid lines correspond to the full luminosity and the dashed lines to the contributions of the secondary images.
Current usage metrics show cumulative count of Article Views (full-text article views including HTML views, PDF and ePub downloads, according to the available data) and Abstracts Views on Vision4Press platform.
Data correspond to usage on the plateform after 2015. The current usage metrics is available 48-96 hours after online publication and is updated daily on week days.
Initial download of the metrics may take a while.