Fig. 9.

Download original image
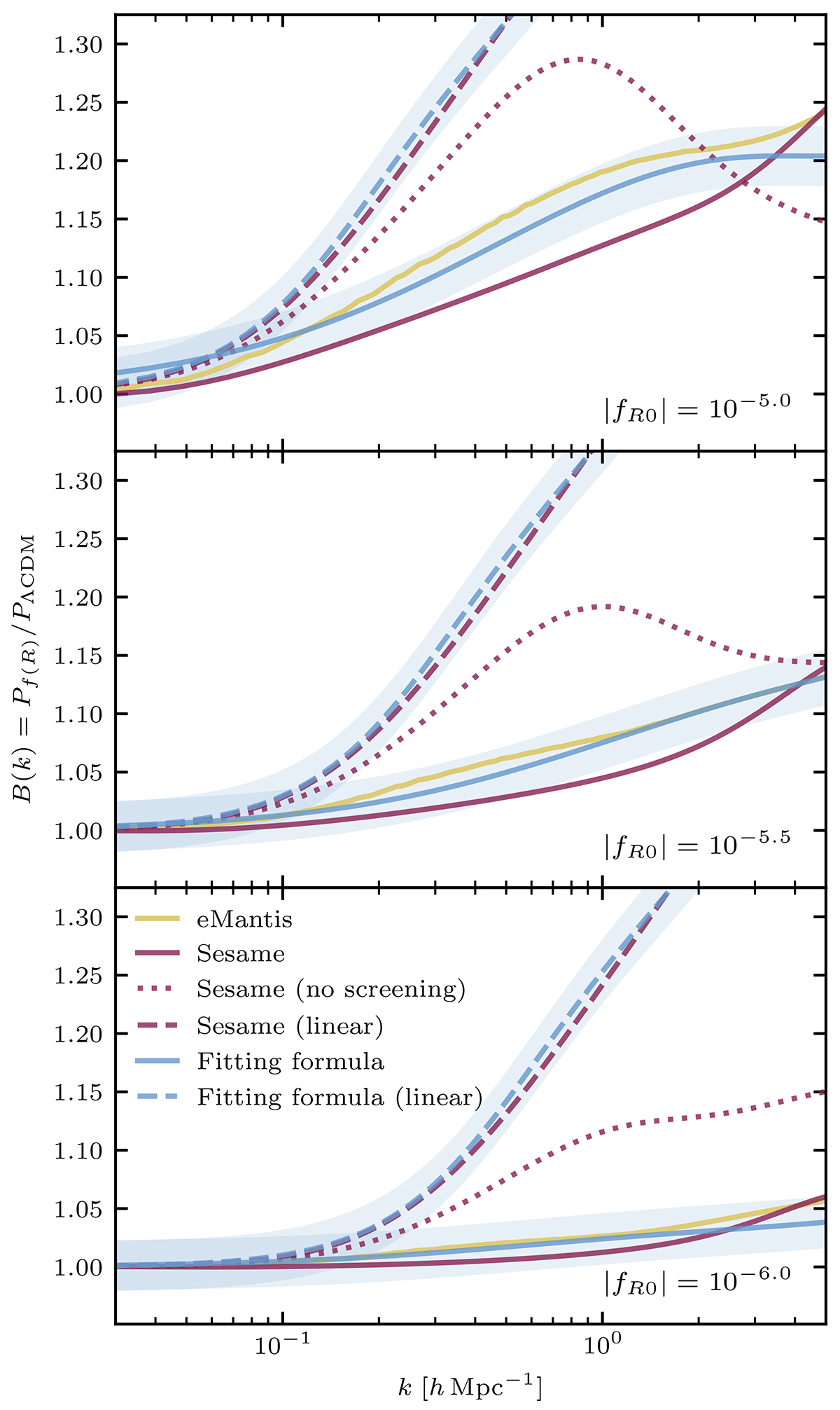
Comparison of our emulators versus emulators in the literature for z = 0. The green line shows e-Mantis (Sáez-Casares et al. 2024) – an emulator based on high-resolution simulations. The red lines show the fitting formula of Winther et al. (2019), which is based on high-resolution simulations for a fixed cosmology. The shaded bands highlight ±2% about the fitting formula prediction.
Current usage metrics show cumulative count of Article Views (full-text article views including HTML views, PDF and ePub downloads, according to the available data) and Abstracts Views on Vision4Press platform.
Data correspond to usage on the plateform after 2015. The current usage metrics is available 48-96 hours after online publication and is updated daily on week days.
Initial download of the metrics may take a while.