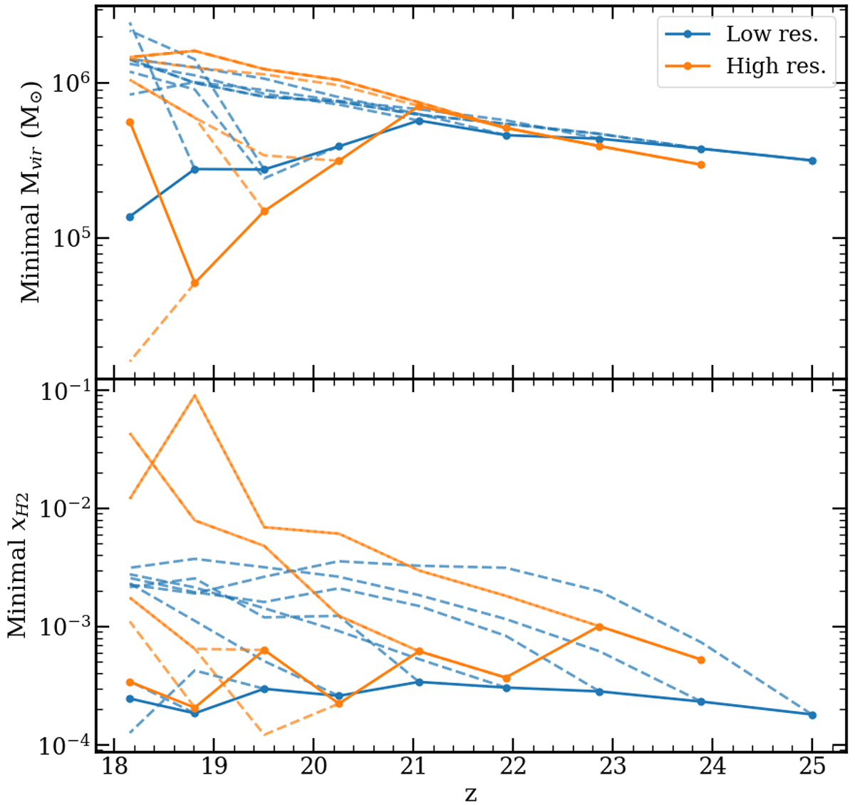
Fig. A.2.

Download original image
Minimum H2 mass fraction of halos hosting gas clumps detected with our algorithm. The blue (resp. the orange) line corresponds to the high (resp. the low) resolution simulation. The dashed lines show the subsequent mass or xH2 evolution of the relevant ’minimal’ halo, usually increasing in both mass and H2 fraction with the same color-coding.
Current usage metrics show cumulative count of Article Views (full-text article views including HTML views, PDF and ePub downloads, according to the available data) and Abstracts Views on Vision4Press platform.
Data correspond to usage on the plateform after 2015. The current usage metrics is available 48-96 hours after online publication and is updated daily on week days.
Initial download of the metrics may take a while.